阿摩線上測驗
登入
首頁
>
教甄◆數學
>
103年 - 高雄市103學年度市立國民小學聯合甄選-普通科目-專長類數學#16892
> 試題詳解
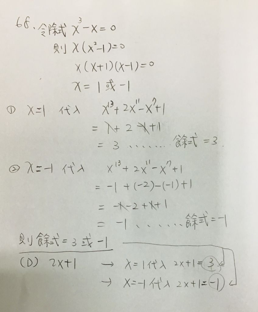
68. x
13
+2x
11
-x
7
+1 除以 x
3
-x 的餘式為何?
(A)1
(B)3
(C)x+1
(D)2x+1 第8頁,共 10 頁
答案:
登入後查看
統計:
A(25), B(47), C(56), D(126), E(0) #612163
詳解 (共 4 筆)
陳俊友
B4 · 2018/05/12
#2784772
可以用滾雪球方式求解。令x3-x=0→x...
(共 145 字,隱藏中)
前往觀看
15
0
111高雄一般師Nancy
B5 · 2019/12/11
#3707868
6
0
李建緯
B2 · 2017/01/05
#1577813
用多項式的長除法就可以解了
0
0
Yi-Hsuan Wang
B1 · 2016/07/03
#1403603
請問這題怎麼解呢……3Q
0
0
相關試題
61.依據教育部 97 年頒布的國民中小學九年一貫課程綱要數學學習領域,「能認識比率及其在 生活上的應用(含「百分率」、「折」)」及「能理解容量、容積和體積間的關係」分別是幾 年級的分年細目? (A)五年級及六年級 (B)六年級及五年級 (C)都是六年級 (D)都是五年級
#612156
62.機器完成一件成品要 1 星期 2 日 8 時 50分,如果 30 日最多可完成「甲」件成品, 剩下「乙」日「丙」時「丁」分,請問「甲+乙+丙+丁」的值為何? (A)61 (B)55 (C)42 (D)39
#612157
63.已知有一自然數 n 除以 7 剩餘 5,n 除以 6 剩餘 4,且 n 除以 5 剩餘 3,試求符合這些條件 的最小 n 之值為何?下列何者正確? (A) 200< n (B) 150< n< 200 (C) 100< n< 150 (D) 50< n< 100
#612158
64.甲÷7=3.8......r (r 是餘數)。 請問「3.8、0.85、0.13」這三個數字中有幾個數字不可能是餘數 r? (A)0 個 (B)1 個 (C)2 個 (D)3 個 第7頁,共 10 頁
#612159
65. 73 / 8 公升的果汁,相當於裝成 23 / 5 瓶,沒有裝滿的那一瓶有多少公升? 下面哪一個算式能算出正確的答案?
#612160
66.問題 1:甲有 13 元,甲比乙多 8 元,問乙有多少元? 問題 2:甲有 13 元,乙比甲多 8 元,問乙有多少元? 問題 3:甲原有一些錢,乙給甲 8 元後甲就有 13 元,問甲原有多少元? 問題 4:甲有 8 元,乙給甲一些錢後甲就有 13 元,問乙給甲多少元? 請問下列關於問題 1 與問題 2,以及問題 3 與問題 4 難易的敘述何者正確? (A)問題 1 比問題 2 簡單,問題 3 比問題 4 簡單。 (B)問題 1 比問題 2 簡單,問題 3 比問題 4 困難。 (C)問題 1 比問題 2 困難,問題 3 比問題 4 簡單。 (D)問題 1 比問題 2 困難,問題 3 比問題 4 困難。
#612161
67.甲透過 10、20、30,1、2、3、4、5、6,合起來是 36 解讀 36。 乙透過 1、2、3,3 個十,1、2、3、4、5、6,6 個一,合起來是 3 個十 6 個 1 解讀36。 下列是甲、乙二人計算「36×7」及「36+36」的算式,請問下列敘述何者正確?(A)算式一及算式三是甲的解題紀錄,算式二及算式四是乙的解題紀錄。 (B)算式一及算式四是甲的解題紀錄,算式二及算式三是乙的解題紀錄。 (C)算式二及算式三是甲的解題紀錄,算式一及算式四是乙的解題紀錄。 (D)算式二及算式四是甲的解題紀錄,算式一及算式三是乙的解題紀錄。
#612162
69.鐵鍊 7 公尺長重 3 公斤,甲、乙、丙三家商店都有賣這種鐵鍊。 甲商店 3 台尺賣 100 元,乙商店 12 英吋賣 50 元,丙店 1 公斤賣 200 元。 請問那一間商店賣的最便宜?(1 台尺=30 公分,1 英吋=2.54 公分) (A)甲商店 (B)乙商店 (C)丙商店 (D)一樣便宜
#612164
70.正多面體有正四面體、正六面體、正八面體、正十二面體及正二十面體等五種。 正八面體有八個面,有甲條邊,有乙個頂點;正十二面體有十二個面,有丙條邊, 有丁個頂點。請問(甲-乙)+(丙-丁)=? (A)20 (B)16 (C)12 (D)10
#612165
5. frac{2}{17} ÷ frac{11}{17} ( ) frac{43}{48} ÷ frac{5}{6} ( ) frac{3}{34} × frac{54}{63}(A)>(B) < (C)=
#3384845
相關試卷
113年 - 113 基北區國立臺灣海洋大學附屬基隆海事高級中等學校_高級中等學校特色招生考試分發入學能力測驗:數學#120683
2024 年 · #120683
112年 - 112 高雄市立高雄高級中學第一學期第三次段考數學科試題 A 卷_高一科學班:複數與多項式#118924
2023 年 · #118924
110年 - 數學4-3基準量與比較量之應用(兩量之差)-應用題51-89#101420
2021 年 · #101420
110年 - 數學4-3基準量與比較量之應用(兩量之差)應用題1-50#101418
2021 年 · #101418
109年 - [無官方正解]109 彰化縣鹿港鎮草港國小_上學期期中考試:數學#125235
2020 年 · #125235
108年 - 桃園捷運新進人員甄試共同科目B-數學#74528
2019 年 · #74528
105年 - 臺北市 105 學年度公立國民小學巡迴教師聯合甄選初試基礎類科知能試題-數學#84962
2016 年 · #84962
105年 - 台船105年技術類數學#47324
2016 年 · #47324
104年 - 勞動部勞動力發展署高屏澎東分署 104 年度第 4 梯次職前訓練招訓甄試試題學科-數學#76334
2015 年 · #76334
104年 - 台船 技術類 數學題庫#24588
2015 年 · #24588