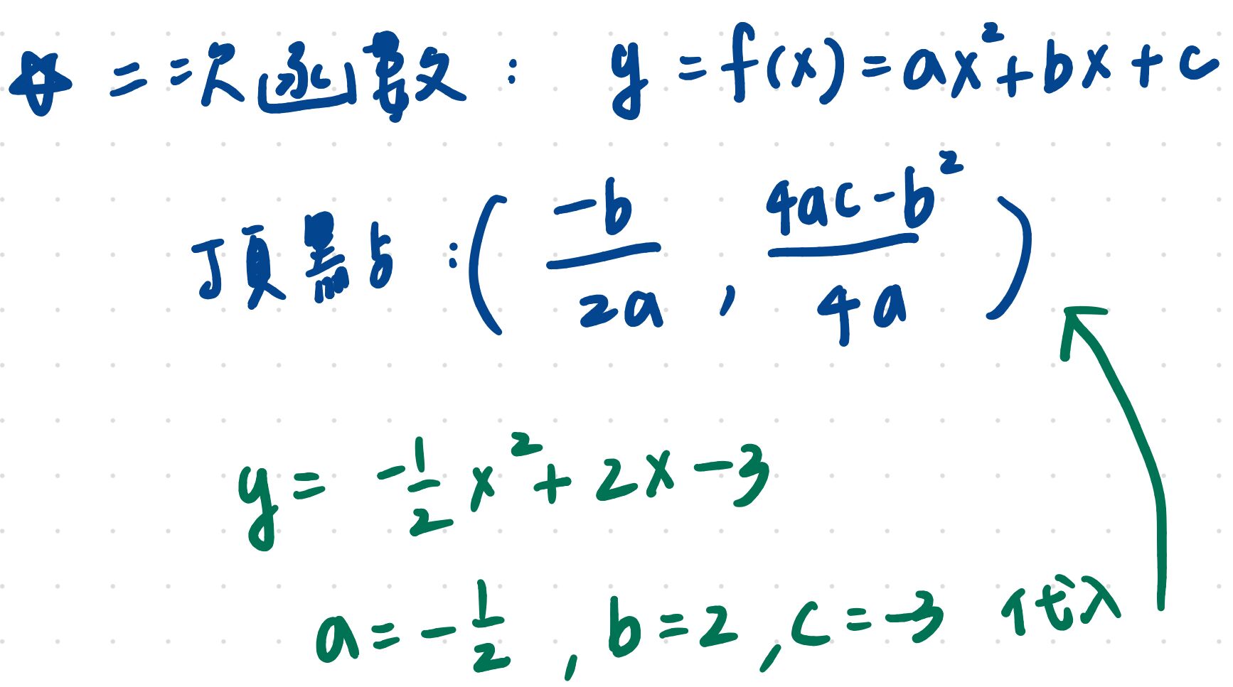
7. 二次函數
,當x = a時,y有最大值b,請問數對(a, b)等於多少?
(A)
(B)
(C) (2, −1)
(D) (2, −5)
答案:登入後查看
統計: A(72), B(45), C(667), D(61), E(0) #3247092
統計: A(72), B(45), C(667), D(61), E(0) #3247092
詳解 (共 6 筆)
#7356674

2
0
#7296239

2
0