阿摩線上測驗
登入
首頁
>
教甄◆數學
>
107年 - 107中區聯盟-國小-數學#70220
> 試題詳解
試題詳解
試卷:
107年 - 107中區聯盟-國小-數學#70220 |
科目:
教甄◆數學
試卷資訊
試卷名稱:
107年 - 107中區聯盟-國小-數學#70220
年份:
107年
科目:
教甄◆數學
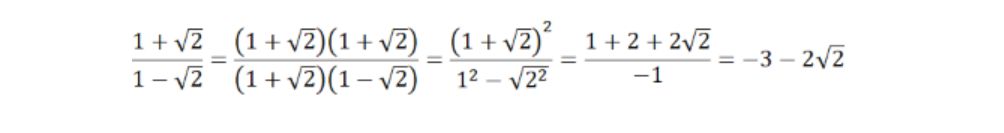
7. 已知
,則 m+ n 之值為何?
(A) -5
(B) -1
(C) 1
(D) 5
正確答案:
登入後查看
詳解 (共 2 筆)
prune108
B3 · 2018/10/08
推薦的詳解#3022685
未解鎖
m=-3.n=-2
(共 11 字,隱藏中)
前往觀看
11
0
惠
B6 · 2021/06/09
推薦的詳解#4787121
未解鎖
(共 1 字,隱藏中)
前往觀看
6
0
私人筆記 (共 2 筆)
你也在正取的路上
2019/08/04
私人筆記#1681422
未解鎖
國二上 平方根的運算 -根式有理化
(共 17 字,隱藏中)
前往觀看
1
2
WenI
2021/06/07
私人筆記#3155904
未解鎖
1.完全平方 (a+b)2=a(a+b...
(共 111 字,隱藏中)
前往觀看
1
0