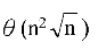
95. 若 DoIt 之計算時間為
,下列程式片段之計算時間,何者是正確?
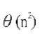
(A)
(B)
(C)
(D)
。
答案:登入後查看
統計: 尚無統計資料
統計: 尚無統計資料