阿摩線上測驗
登入
首頁
>
轉學考-線性代數
>
95年 - 95 淡江大學 轉學考 線性代數#56041
>
題組內容
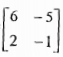
1. Let A=
(a) Find a matrix V that diiigonalizes A. (10 points)
其他申論題
(e) what would be the factor of safety with respect to slip if a one-inch diameter bar of the same material was carrying the same load? (5%)
#212607
【已刪除】3. A hollow shaft has an outside diameter of 150 mm and an inside diameter of 60 mm. The shaft is fixed at one end and is loaded by two applied torques as shown in Figure 3. Determine the maximum shear stress acting on the outside surface of the shaft. (10%) Determine the maximum shear stress on the inside surface of the shaft. (10%)
#212608
【已刪除】4. Determine the maximum load P that can be applied the beam shown in Figure 4 if the allowable bending fiber stresses are 15,000 lb/in2 in tension and 25,000 lb/in2 in compression. (20%)
#212609
【已刪除】5, Find the forces in the members BFt and CE of the truss shown in Figure 5. (15%)
#212610
(b) Find A10. (10 points)
#212612
(a) Find tJie lcer(T). (10 points)
#212613
(b) Find the matrix of T corresponding to the ordered bases B and D, (10 points)
#212614
(a) Show that AX=Y is consistent for all 3x1 matrix Y.
#212615
(b) Find a basis for the solution space of AX=0.
#212616
【已刪除】4. Let u1= (1,1) and u2 = (1,-1),and let T : R2 →R2 be the linear operator such that Find a formula for T(x, y). (10 points)
#212617