題組內容
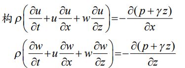
三、二維尤拉方程式(Euler equation)表示如下:
其中 u 與 w 分別為 x(水平方向,向右為正)與 z(垂直方向,向上為正)二個方向的速度分量,t 為時間,ρ為流體密度,p 為壓力,γ( = ρ g) 為單位重,g 為重力加速度。一矩形(水平長 L,高 H)半滿油槽在固定 水平加速度為 ax(>0),及固定垂直加速度為 az(>0)作用下,並假定油槽內 流體各位置之加速度皆相同。
三、二維尤拉方程式(Euler equation)表示如下:
其中 u 與 w 分別為 x(水平方向,向右為正)與 z(垂直方向,向上為正)二個方向的速度分量,t 為時間,ρ為流體密度,p 為壓力,γ( = ρ g) 為單位重,g 為重力加速度。一矩形(水平長 L,高 H)半滿油槽在固定 水平加速度為 ax(>0),及固定垂直加速度為 az(>0)作用下,並假定油槽內 流體各位置之加速度皆相同。