阿摩線上測驗
登入
首頁
>
(工業)安全工程
>
104年 - 104年高等三級暨普通考高考三級_工業安全-安全工程#23985
> 申論題
題組內容
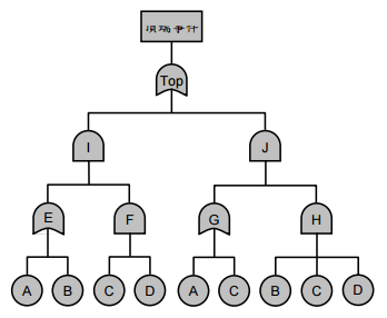
五、假設一機電設備之失誤樹分析(Fault Tree Analysis)如下圖,各基本事件發生之機 率顯示於下表。(20 分)
⑴應用布林代數運算分析,找出最小分割集合;以及
相關申論題
一、一個每小時使用 4 pints 溶劑的製程,每個 pint 產生 15ft 3 的揮發氣體擴散到 10,000 ft3 的房間,假設安全係數是 5,LEL(爆炸下限)1.2%,UEL(爆炸上限) 7.1 %,最小排氣量需要多少以降低濃度至非可燃狀態?須詳列計算過程。(20 分) (A) 420 cfm (B) 840 cfm (C) 210 cfm (D) 3,345 cfm
#30702
二、一燃料儲槽區有二個儲槽,儲槽一直徑 40 公尺高 13 公尺,儲槽二直徑 12 公尺高 4.5 公尺,二槽距離 16 公尺,現欲建造容納至少大槽 110%容量防溢堤,且每一槽 需離防溢堤至少 7.5 公尺,下列四者那一個是最佳選擇? 請說明原因。假設防溢堤 無斜度。(20 分) (A) 1.25 公尺防溢堤高度(67×34 公尺) (B) 2.70 公尺防溢堤高度 (82×73 公尺) (C) 1.50 公尺防溢堤高度(120×87 公尺) (D) 1.80 公尺防溢堤高度 (120×85 公尺)
#30703
四、電氣設備防爆構造之種類可分為那幾類?(20 分)
#30705
⑵求出頂端事件發生之機率。
#30707
第四題:請依職業安全衛生法規定,列舉五項事業單位訂定安全衛生工作守則應參酌之內容。
#563596
第三題:請說明化學品分級管理(CCB)五步驟及其概要內容。
#563595
第二題:請問火災之四種滅火原理及方法?
#563594
第一題:雇主對於何種機械、設備或器具,應使其具安全構造,並依機械設備器具安全標準之規定辦理,請舉出 10 種。
#563593
(四)移動式起重機於鬆軟的地面進行起重吊升作業時,列舉 2 種防止發生翻倒危害之補強作法。【4 分】
#563520
(三)列舉 3 種鋼索發生異常情形時,不得供起重吊掛作業使用。【6 分】
#563519
相關試卷
114年 - 114 地方政府公務特種考試_三等_職業安全衛生:安全工程#134667
114年 · #134667
114年 - 114 地方政府公務特種考試_四等_職業安全衛生:安全工程概要#134656
114年 · #134656
114年 - 114 專技高考_工業安全技師:工業安全工程#133644
114年 · #133644
114年 - 114 高等考試_三級_職業安全衛生:安全工程#128736
114年 · #128736
113年 - 113 地方政府公務特種考試_三等_職業安全衛生:安全工程#124559
113年 · #124559
113年 - 113 地方政府公務特種考試_四等_職業安全衛生:安全工程概要#124345
113年 · #124345
113年 - 113 中央印製廠新進人員_甄試試題:工業安全工程#123105
113年 · #123105
113年 - 113 高等考試_三級_職業安全衛生:安全工程#121509
113年 · #121509
113年 - 113 普通考試_職業安全衛生:安全工程概要#121155
113年 · #121155
112年 - 112 臺灣菸酒股份有限公司從業職員及從業評價職位人員甄試_從業職員/職業安全衛生管理_專業科目 3:安全工程#137484
112年 · #137484