阿摩線上測驗
登入
首頁
>
通信系統
>
101年 - 101年地方考三等_電信工程#31600
> 申論題
題組內容
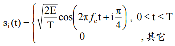
三、若有一組信號
其中 i=1, 2, 3, 4 且 f
c
=
,n 為整數。
⑴求此組信號在空間中之維度 N(Dimensionality)?(10 分)
相關申論題
⑵求出代表此組信號之正交基底函數?(10 分)
#70836
四、請比較開放系統連接(Open Systems Interconnection;OSI)協定與 TCP/IP 協定二者 之架構?(20 分)
#70837
⑴某土樣之孔隙比 e 為 0.80,含水量 ω 為 18%,比重 Gs 為 2.70,求此土樣之飽和 度為若干%及濕單位重為若干 kN/m3 ?
#70838
⑵某砂土填方,經輾壓後以砂錐法測得其濕單位重為 18.2 kN/m3 ,含水量 ω 為 7%, 比重 Gs 為 2.66,經試驗室測得其最大孔隙比為 0.632,最小孔隙比為 0.476,試 求此填方之相對密度為若干%?並研判此填方之輾壓成果。
#70839
⑶某一砂土樣,由其粒徑分佈曲線求得:D10=0.15 mm,D30=0.4 mm,D50=0.65 mm, D60=0.8 mm,D85=1.5 mm,求此試樣之平均粒徑、均勻係數 Cu 及曲率係數 Cc 各為若干?此土樣是否為級配良好之土壤?
#70840
⑷若某無機質細粒土壤經試驗得細料有 40%,其中,顆粒粒徑小於 2 μm 的有 11%, 另其液性限度 LL 為 38,塑性限度 PL 為 18,若依美國統一土壤分類法,其分類 符號應為何?若此土壤之含水量為 14%,決定此土壤之液性指數 LI,並說明其活 性(activity)如何?
#70841
⑸承上子題⑷,若此細粒土壤之土層屬正常壓密黏土層,且地下水位位於地表處, 經試驗得:比重 Gs=2.70,孔隙比 e=0.70,不排水強度 cu 為 24 kPa,試計算此 土壤之取樣深度為若干 m?
#70842
⑴試利用所繪得之流網計算滲流量(rate of seepage)為若干 m3 /day/m?
#70843
⑵假設以沉泥質砂土層底部為基準點,試計算版樁兩面 中點:A 點及 B 點處之總水頭、壓力水頭、高程水頭及管測水頭各為若干 m?
#70844
⑴何謂飽和壓密不排水試驗?(請繪圖輔助說明),試驗時施加之背水壓力(back pressure)之目的為何?
#70846
相關試卷
114年 - 114 地方政府公務特種考試_四等_電信工程:通信系統概要#134755
114年 · #134755
114年 - 114 地方政府公務特種考試_三等_電信工程:通信與系統#134723
114年 · #134723
114年 - 114 公務升官等考試_薦任_電信工程:通信與系統#133270
114年 · #133270
114年 - 114 調查特種考試_三等_電子科學組:通信與系統#129592
114年 · #129592
114年 - 114 高等考試_三級_電信工程:通信與系統#128757
114年 · #128757
114年 - 114 普通考試_電信工程:通信系統概要#128733
114年 · #128733
113年 - 113 地方政府公務特種考試_四等_電信工程:通信系統概要#124540
113年 · #124540
113年 - 113 調查特種考試_三等_電子科學組:通信與系統#122111
113年 · #122111
113年 - 113 普通考試_電信工程:通信系統概要#121514
113年 · #121514
113年 - 113 高等考試_三級_電信工程:通信與系統#121501
113年 · #121501