阿摩線上測驗
登入
首頁
>
流體力學
>
101年 - 101 高等考試_三級_環境工程:流體力學#29415
> 申論題
題組內容
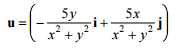
二、對於一不可壓縮、且流體黏性可忽略不計的二維水平運動流場,其速度分布為:
⑴試求流場的流體質點加速度。(6 分)
相關申論題
一、對於某一水平管內的一維水流流場,試設計一個實驗,以取得管內某一點上的靜 壓力(static pressure)、停滯壓力(stagnation pressure)與動壓力(dynamic pressure),並以適當的式子說明如何得到此三者的數值。(20 分)
#61622
⑵試求取此流場的壓力分布 p x y),( 與流體質點運動過程中所受的壓力變化率dp / dt 。 (14 分)
#61624
三、有一鋼板(厚 1 mm、長 1000 mm、寬 400 mm)在寬為 10 mm 的插槽中鉛直墜落, 槽中裝滿某種油,鋼板以 0.1 m/sec 等速度下墜,且與插槽的一邊保持 4 mm 的距 離。試求油的動力黏度係數。(20 分)
#61625
五、有一定量流之速度分布為 u = 3ax, v= 4ay, w = -7az ,試求通過點(1, 1, 1)之 流線方程式。(20 分)
#570119
四、已知某二維流場()之速度分布如下,求其速度勢能函數Φ及流函 數φ。(20 分)
#570118
三、有一液體(比重 = 0.85)流經一細腰管計(文氏計),如圖二所示,圖中點 (1)、(2)保持一水平線。若流率介於 0.001 cms 到 0.050 cms 之間,試求出此 範圍間的流率可能形成之壓力差範圍值為若干 kPa?(20 分)
#570117
二、兩平面相距 20 mm , 其中充滿某種液體 , 已 知 該 液 體 之 黏 滯 度μ= 16.8✖ 10-3 kg/m●s 。 今欲使平面中間有一大小為 0.75 m 2 之 平 板 以 0.2 m/s 的速度前進,假設該板與兩平面等距,試求須力若干牛頓(N)? (20 分)
#570116
一、有一氣體流(密度= 1.26 kg/m 3 )由貯氣筒通過直徑 D 0.03 m 的管路排放 至大氣中,管路前端銜接直徑 d 0.01 m 的噴嘴,如圖一所示,圖中點(1)、 (2)、(3)保持一水平線。在貯氣筒內的錶(gage)壓力保持在 3.0 kPa ,而大 氣狀態為常溫與常壓。試求在管路中的流量(單位採 cms)與壓力(單位 採 Pa)。(20 分)
#570115
五、在均勻流狀況下,梯形渠道如圖三,渠道輸水坡度為 305 m 高程下降 0.4 m, 渠道表面為加工混凝土 ( finished concrete ), 曼 寧 係 數 ( Manning coefficient)n = 0.012。試問該渠道水流之福祿數(Froude number)為何?
#560883
四、在水利工程或灌漑工程,經常需要簡便之流量量測設施。閘門則是在明 渠中一種簡便之流量量測設施,應用柏努力方程式與連續方程式推導, 僅需量測渠道上下游高度 z1 與 z2 以及閘門寬度 b,即可使該簡便設施達到準確之流量之量測。 參閱圖二,請推導閘門流量公式:
#560882
相關試卷
115年 - 115 身心障礙特種考試_三等_水利工程:流體力學#138962
115年 · #138962
114年 - 114 地方政府公務特種考試_三等_水利工程:流體力學#134777
114年 · #134777
114年 - 114 地方政府公務特種考試_四等_水利工程:流體力學概要#134736
114年 · #134736
114年 - 114 專技高考_水利工程技師:流體力學#133675
114年 · #133675
114年 - 114 公務升官等考試_薦任_水利工程:流體力學#133259
114年 · #133259
114年 - 114 普通考試_水利工程:流體力學概要#128762
114年 · #128762
114年 - 114 高等考試_三級_水利工程:流體力學#128749
114年 · #128749
114年 - 114 身心障礙特種考試_三等_水利工程:流體力學#126638
114年 · #126638
113年 - 113 地方政府公務特種考試_三等_水利工程:流體力學#124528
113年 · #124528
113年 - 113 地方政府公務特種考試_四等_水利工程:流體力學概要#124496
113年 · #124496