阿摩線上測驗
登入
首頁
>
作業研究
>
95年 - 95 專技高考_交通工程技師:作業研究#33086
> 申論題
題組內容
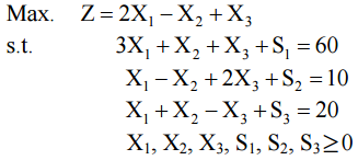
一、已知下列最佳化問題之最佳解所對應之基變數(Basic Variables)為 X
1
, X
2
與 S
1
。
⑴請列出偶題,並使用已知之訊息求算偶題之最佳解。(12 分)
相關申論題
⑵當限制式右邊之數值由(60,10,20)變更為(59,11,22)後,則新的 Z* 值為何?(8 分)
#79681
⑴為方便求解,請將此網路問題轉換成流量下限均為零之網路。(5 分)
#79682
⑵請根據轉換後之網路,求解此一最小成本網路流量問題。(10 分)
#79683
⑶若節線② ③的最小流量降為 1 單位,則此網路之總成本會有多少變動。(5 分)
#79684
⑴請求算此一問題之最佳解。(6 分)
#79685
⑵當加入 X1≥0, X2≥0 之限制條件時,則最佳解為何?(7 分)
#79686
⑶當加入的限制條件改為:2X1+X2≥2, X1-3X2≤6 時,請問最佳解為何?(7 分)
#79687
四、某車商採取車輛賣光當天晚上始下訂單之存量控管經營策略,每次下單之車輛數為 3 輛,且隔天一早即可全數送達。根據統計,車商每天的車輛需求量(D)符合卜 瓦松分布(Poisson Distribution),其每天車輛需求之平均值為 1 輛,當需求量高於 當天可賣之車數時,超出之部分即視為流失,不另考慮。請依此等條件,就該車商 每天晚上車輛庫存數變動之狀態,定義馬可夫鏈。(20 分) (提示:e -1=0.368, Prob{D=n}= e -1/n!)
#79688
(三)若此消費性產品的市場有 10,000 名消費者,每位消費者平均一年購買 一次,A, B, C 品牌的單位售價分別為$600, $900, $1,200。請計算長期下來該消費性產品每年的總銷售額為多少?
#560545
(二)計算穩定狀態機率。
#560544
相關試卷
114年 - 114 地方政府公務特種考試_三等_工業工程:作業研究#134713
114年 · #134713
114年 - 114 專技高考_工業工程技師:作業研究#133680
114年 · #133680
114年 - 114 高等考試_三級_工業工程:作業研究#128750
114年 · #128750
113年 - 113 地方政府公務特種考試_三等_工業工程:作業研究#124521
113年 · #124521
113年 - 113 專技高考_工業工程技師:作業研究#123885
113年 · #123885
113年 - 113 高等考試_三級_工業工程:作業研究#121489
113年 · #121489
112年 - 112 地方政府特種考試_三等_工業工程:作業研究#118325
112年 · #118325
112年 - 112 專技高考_工業工程技師:作業研究#117594
112年 · #117594
112年 - 112 公務升官等考試_薦任_工業工程:作業研究#117328
112年 · #117328
112年 - 112 高等考試_三級_工業工程:作業研究#115450
112年 · #115450