題組內容
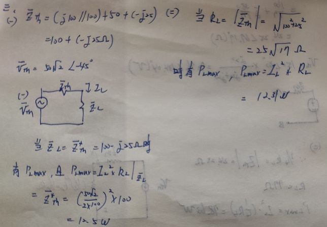
三、圖三所示之電路中,Vs =100∠0°為電源
的相量(phasor) 表示法,其中ω為頻率(單位:rad/sec)。

(一)當負載為一阻抗時,試求能傳送至負載的最大功率及此時之負載值。
詳解 (共 1 筆)
詳解

三、圖三所示之電路中,Vs =100∠0°為電源
的相量(phasor) 表示法,其中ω為頻率(單位:rad/sec)。

