阿摩線上測驗 登入

申論題資訊

試卷:109年 - 109 普通考試_機械工程:機械設計概要#88592
科目:機械設計
年份:109年
排序:0

題組內容

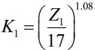
二、以滾子鏈傳動公稱動力 Hnom =9 kW ,主動鏈輪轉速 500 rpm ,齒數  Z1 = 25,小鏈輪齒數係數5f18f6089e9dd.jpg(17齒之K1 =1),大鏈輪齒數73, 工作情況為中等衝擊,使工況係數(service factor)Ks=1.3 ,排數係數K2: 單排的  K2 =1,2排的 K2 =1.7,3排的 K2 =2.5,4排的 K2 = 3.3,中心距影 響係數K3 = 1,整排鏈條的許用(allowance)傳遞動力Hall=K1K2K3HTab, 選擇一個型號的鏈條,其單股在小齒輪17齒轉速500 rpm的表定功率額定 值 HTab = 4.25 kW ,令安全係數至少為 ns =1.2,則設計的傳遞動力: Hdes=HnomKsns,求:

申論題內容

(一)設計的傳遞動力?