所屬科目:機械設計
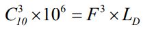
(四)滾珠軸承壽命負荷方程式:其中C10為可靠度90%之型錄額定負載(Catalog load rating)或動容量 (dynamic capacity),設計壽命30000小時,求選擇軸承之C10?