阿摩線上測驗
登入
首頁
>
作業研究
>
112年 - 112 公務升官等考試_薦任_工業工程:作業研究#117328
> 申論題
題組內容
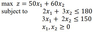
一、考慮下列線性規劃問題:
(一)請將此問題轉成以標準型式來表示,也就是所有不等式轉成為等式的型式。(5 分)
相關申論題
(二)請以一般單形法(Simplex method)的表格式(tableau form)來求解最佳解並在每回合表中列出完整之列表。(20 分)
#501488
二、鋼鐵廠主要產品為三米、五米以及九米長之鋼條。這些長度的鋼條是由原材十七米長的鋼條所裁切完成。目前已知需求為 25 支三米鋼條、20 支五米鋼條以及15 支九米鋼條。鋼鐵廠希望原材十七米長的鋼條使用的數目越少越好。請建構出整數規劃模型並定義所需之決策變數來達成此目的(無須求解)。(25 分)
#501489
(一)請定義動態規劃所需之階段(stage)以及狀態(state)。(5 分)
#501490
(二)請以動態規劃的方式分階段求出最佳解。(10 分)
#501491
四、請以逆變換法(inverse transform method)來產生機率密度函數為f(x) =ex /( e− 1),0 ≤x ≤ 1的隨機樣本。(15 分)
#501492
(一)以 Dijkstra 法求解由節點 1 出發至各節點最短路徑問題之最佳解。
#501493
(二)請建構以目標式為最小化由節點 1 出發至節點 6 所需距離之最佳化模型並定義所需之決策變數。
#501494
(三)若此消費性產品的市場有 10,000 名消費者,每位消費者平均一年購買 一次,A, B, C 品牌的單位售價分別為$600, $900, $1,200。請計算長期下來該消費性產品每年的總銷售額為多少?
#560545
(二)計算穩定狀態機率。
#560544
(一)寫出此問題的一階移轉機率矩陣(transition matrix)。
#560543
相關試卷
114年 - 114 地方政府公務特種考試_三等_工業工程:作業研究#134713
114年 · #134713
114年 - 114 專技高考_工業工程技師:作業研究#133680
114年 · #133680
114年 - 114 高等考試_三級_工業工程:作業研究#128750
114年 · #128750
113年 - 113 地方政府公務特種考試_三等_工業工程:作業研究#124521
113年 · #124521
113年 - 113 專技高考_工業工程技師:作業研究#123885
113年 · #123885
113年 - 113 高等考試_三級_工業工程:作業研究#121489
113年 · #121489
112年 - 112 地方政府特種考試_三等_工業工程:作業研究#118325
112年 · #118325
112年 - 112 專技高考_工業工程技師:作業研究#117594
112年 · #117594
112年 - 112 公務升官等考試_薦任_工業工程:作業研究#117328
112年 · #117328
112年 - 112 高等考試_三級_工業工程:作業研究#115450
112年 · #115450