題組內容
一、請計算 16QAM 傳輸系統在同調接收器(Coherent Receiver)下的平均位元錯誤率(Bit Error Rate, BER),假設在 AWGN 通道下,符號‘1’與‘0’發 送機率相同,採用正交坐標 QAM 星座圖。
(一)請推導並寫出同調 16QAM 系統在 AWGN 通道下的位元錯誤率(BER) 。 (10 分)
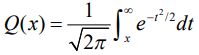
請將位元錯誤率(BER)以 Q 函數形式與
表示。
是每比 特(bit)能量與雜訊功率密度比
一、請計算 16QAM 傳輸系統在同調接收器(Coherent Receiver)下的平均位元錯誤率(Bit Error Rate, BER),假設在 AWGN 通道下,符號‘1’與‘0’發 送機率相同,採用正交坐標 QAM 星座圖。
(一)請推導並寫出同調 16QAM 系統在 AWGN 通道下的位元錯誤率(BER) 。 (10 分)
請將位元錯誤率(BER)以 Q 函數形式與
表示。
是每比 特(bit)能量與雜訊功率密度比