阿摩線上測驗 登入

申論題資訊

試卷:113年 - 113 專技高考_電子工程技師:工程數學(包括線性代數、微分方程、向量分析、複變函數與機率)#123976
科目:工程數學(應用數學, 線性代數、微分方程、複變函數與機率)
年份:113年
排序:0

題組內容

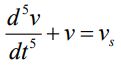
一、考慮下列之 5 階常微分方程:


假設初始值為

申論題內容

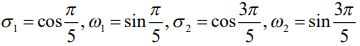
(一)請求v (t)之齊次解(homogeneous solution) ,請以上面係數(σ11 , σ2 , ω2 )將齊次解表示為實數函數。