題組內容
一、考慮以下線性規劃問題。
已知此問題之最佳解的基變數(Basic Variable)為 x2、x3 及第三條限制 式的差額變數(Slack Variable)。
(二)以高斯-喬登法(Gauss-Jordan Method)求出
。(5 分)
(三)利用小題(二)所得之
求出最佳解及其目標函數值。 (10 分)
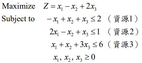
一、考慮以下線性規劃問題。
已知此問題之最佳解的基變數(Basic Variable)為 x2、x3 及第三條限制 式的差額變數(Slack Variable)。
(二)以高斯-喬登法(Gauss-Jordan Method)求出
。(5 分)
(三)利用小題(二)所得之
求出最佳解及其目標函數值。 (10 分)