題組內容
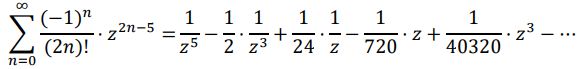
五、我們考慮一個複變函數f(z) = cos(z)/z5 ,已知其羅倫特展開式(Laurent (每小題 5 分,共 20 分) expansion)為:
(三)如果我們用C來表示在複數平面上的單位圓(也就是x2 + y2 = 1)上面 以逆時針方向從z = 1開始繞一圈走回原出發點,那麼
=?
五、我們考慮一個複變函數f(z) = cos(z)/z5 ,已知其羅倫特展開式(Laurent (每小題 5 分,共 20 分) expansion)為:
(三)如果我們用C來表示在複數平面上的單位圓(也就是x2 + y2 = 1)上面 以逆時針方向從z = 1開始繞一圈走回原出發點,那麼
=?