題組內容
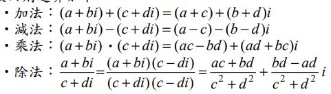
五、可寫為 a+bi 之數稱為複數(Complex Number),其中 a 與 b 均為實數,i 表示虛數, 亦即 i 2 =-1。a 稱為複數的實部(real part),b 稱為複數的虛部(imaginary part)。 複數四則運算如下:

請以 C++語言,
(三)寫出於複數 class 外部,定義成員 operator /之程式碼。加入例外處理(exception handle)避免分母為 0。
五、可寫為 a+bi 之數稱為複數(Complex Number),其中 a 與 b 均為實數,i 表示虛數, 亦即 i 2 =-1。a 稱為複數的實部(real part),b 稱為複數的虛部(imaginary part)。 複數四則運算如下:

請以 C++語言,
(三)寫出於複數 class 外部,定義成員 operator /之程式碼。加入例外處理(exception handle)避免分母為 0。