題組內容
二、考慮一個平行板電容器,極板面積為 A,板距為 d(極板位於 x= 0與 x= d)。兩極板間填充了非均勻介電質,其介電常數隨x線性變化: ϵ(x) = 2 ϵ0(1 +
)。若兩極板間加上直流電壓 V0( = 0 處為 0 V, x= d 處為 V0)。
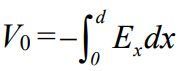
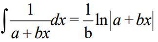
提示:極板間無自由電荷,故 ▽‧ D = 0,表示 Dx 為常數,利用
求解 Dx。積分公式
。
(三)推導此漸變介電質電容器的總電容 C。
二、考慮一個平行板電容器,極板面積為 A,板距為 d(極板位於 x= 0與 x= d)。兩極板間填充了非均勻介電質,其介電常數隨x線性變化: ϵ(x) = 2 ϵ0(1 +
)。若兩極板間加上直流電壓 V0( = 0 處為 0 V, x= d 處為 V0)。
提示:極板間無自由電荷,故 ▽‧ D = 0,表示 Dx 為常數,利用
求解 Dx。積分公式
。
(三)推導此漸變介電質電容器的總電容 C。