阿摩線上測驗
登入
首頁
>
流體力學
>
109年 - 109 地方政府特種考試_三等_機械工程:流體力學#94606
> 申論題
題組內容
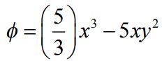
一、有一個二維不可壓縮流場,其速度勢能(velocity potential)函數為
,試問:
(三)求此流場之流線函數(stream function)ψ(x, y)?
相關申論題
(一)此流場在 x 方向之速度 u(x, y)及 y 方向速度 v(x, y)為何?
#394360
(二)此流場是否符合質量守恆定律?
#394361
(一)若流場為無摩擦,試計算汽油之出口壓力(kPa)?
#394363
(二)若已知汽油在軸向之單位長度摩擦損失為10 kPa/m,試計算汽油之出 口壓力(kPa)?
#394364
三、(一)試述說明何謂紊流之閉合問題(turbulence closure problem)?
#394365
(二)有一個紊流之外流場,流體之自由流(free stream)速度為 U,流經一個 鈍型物體。若假設壁面剪應力()為:⑴流體密度 ρ ⑵自由流速度 U⑶邊界層厚度 δ ⑷紊流擾動速度 u′及⑸壓力梯度 dP/dx 之函數。試以 ρ、U 及 δ 為重複變數,藉由因次分析與柏金漢 π 定理,詳細推導出 與 U, u′, ρ, δ 及 dP/dx 的無因次關係式。
#394366
(一)利用流體一維能量方程式,估算此流體之動力黏度 μ(kg/m-s)?
#394367
(二)此流體之流場為層流或紊流?
#394368
五、在均勻流狀況下,梯形渠道如圖三,渠道輸水坡度為 305 m 高程下降 0.4 m, 渠道表面為加工混凝土 ( finished concrete ), 曼 寧 係 數 ( Manning coefficient)n = 0.012。試問該渠道水流之福祿數(Froude number)為何?
#560883
四、在水利工程或灌漑工程,經常需要簡便之流量量測設施。閘門則是在明 渠中一種簡便之流量量測設施,應用柏努力方程式與連續方程式推導, 僅需量測渠道上下游高度 z1 與 z2 以及閘門寬度 b,即可使該簡便設施達到準確之流量之量測。 參閱圖二,請推導閘門流量公式:
#560882
相關試卷
114年 - 114 地方政府公務特種考試_三等_水利工程:流體力學#134777
114年 · #134777
114年 - 114 地方政府公務特種考試_四等_水利工程:流體力學概要#134736
114年 · #134736
114年 - 114 專技高考_水利工程技師:流體力學#133675
114年 · #133675
114年 - 114 公務升官等考試_薦任_水利工程:流體力學#133259
114年 · #133259
114年 - 114 普通考試_水利工程:流體力學概要#128762
114年 · #128762
114年 - 114 高等考試_三級_水利工程:流體力學#128749
114年 · #128749
114年 - 114 身心障礙特種考試_三等_水利工程:流體力學#126638
114年 · #126638
113年 - 113 地方政府公務特種考試_三等_水利工程:流體力學#124528
113年 · #124528
113年 - 113 地方政府公務特種考試_四等_水利工程:流體力學概要#124496
113年 · #124496
113年 - 113 專技高考_水利工程技師:流體力學#123974
113年 · #123974