阿摩線上測驗
登入
首頁
>
通信系統
>
110年 - 110 普通考試_電信工程:通信系統概要#102222
> 申論題
題組內容
三、一個調頻(frequency modulation, FM)訊號可表示為:
其中
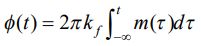
為載波頻率, Φ (t ) 為相位訊號,表示為:
其中 m(t ) 為訊息信號(message signal)。
(二)根據(一)之近似結果,畫出 FM 調變器方塊圖。
相關申論題
(一) x(t ) = t × sinc(t )
#430176
(二) x(t ) = rect ( t - 1) + rect ( t + 1)
#430177
(一)若該濾波器的輸入是繪出濾波器的輸出波形。
#430178
(二)求該濾波器之頻率響應。
#430179
(一)若Φ (t ) 很小,證明u (t ) 可以近似為。
#430180
(一) A(t ) 為那種調變技術所產生的訊號?
#430182
(二) B(t ) 為那種調變技術所產生的訊號?
#430183
(三) C (t ) 為那種調變技術所產生的訊號?
#430184
(四) D(t ) 為那種調變技術所產生的訊號?
#430185
(一)在可以回復被取樣訊號的情況下,求被取樣訊號的最大頻寬。
#430186
相關試卷
114年 - 114 地方政府公務特種考試_四等_電信工程:通信系統概要#134755
114年 · #134755
114年 - 114 地方政府公務特種考試_三等_電信工程:通信與系統#134723
114年 · #134723
114年 - 114 公務升官等考試_薦任_電信工程:通信與系統#133270
114年 · #133270
114年 - 114 調查特種考試_三等_電子科學組:通信與系統#129592
114年 · #129592
114年 - 114 高等考試_三級_電信工程:通信與系統#128757
114年 · #128757
114年 - 114 普通考試_電信工程:通信系統概要#128733
114年 · #128733
113年 - 113 地方政府公務特種考試_四等_電信工程:通信系統概要#124540
113年 · #124540
113年 - 113 調查特種考試_三等_電子科學組:通信與系統#122111
113年 · #122111
113年 - 113 普通考試_電信工程:通信系統概要#121514
113年 · #121514
113年 - 113 高等考試_三級_電信工程:通信與系統#121501
113年 · #121501