阿摩線上測驗
登入
首頁
>
流體力學
>
112年 - 112 地方政府特種考試_三等_水利工程:流體力學#118265
> 申論題
題組內容
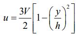
一、如下圖,兩平板之間充滿潤滑油,其速度分布為
(二)若潤滑油之動力黏滯係數 0.62 N-s/m
2
,在兩平板中央處(y = 0)剪應力為何?(10 分)
相關申論題
(一)其中 V = 2 cm/s,h = 1.0 cm,求平板處(y = h)之速度梯度為何? (15 分)
#504905
二、如下圖,試計算 U 形管中水銀柱高 h?(水銀比重 S 為 13.6)(25 分)
#504907
三、如下圖,一水力發電設施之上下游高程落差 120 m,流量 Q = 4.0 m3/s 流 經直徑為 1.5 m,管長 2500 m 的輸水管線,若管線的摩擦係數為 0.02, 渦輪機的運轉效率為 0.65,問此渦輪機可產生之電力?(25 分)
#504908
(一)如下圖,一圓球以鋼絲懸於空中,受風吹動後與垂直成一角度,試推導角度 θ 與風速 U、球直徑 D、球密度 ρs、阻力係數 CD 與空氣密度 ρa 之間的關係。(13 分)
#504909
(二)若風速 U = 10 m/s、球直徑 D = 15 cm、球質量 M = 0.5 kg,求角度 θ? (12 分)
#504910
五、有一定量流之速度分布為 u = 3ax, v= 4ay, w = -7az ,試求通過點(1, 1, 1)之 流線方程式。(20 分)
#570119
四、已知某二維流場()之速度分布如下,求其速度勢能函數Φ及流函 數φ。(20 分)
#570118
三、有一液體(比重 = 0.85)流經一細腰管計(文氏計),如圖二所示,圖中點 (1)、(2)保持一水平線。若流率介於 0.001 cms 到 0.050 cms 之間,試求出此 範圍間的流率可能形成之壓力差範圍值為若干 kPa?(20 分)
#570117
二、兩平面相距 20 mm , 其中充滿某種液體 , 已 知 該 液 體 之 黏 滯 度μ= 16.8✖ 10-3 kg/m●s 。 今欲使平面中間有一大小為 0.75 m 2 之 平 板 以 0.2 m/s 的速度前進,假設該板與兩平面等距,試求須力若干牛頓(N)? (20 分)
#570116
一、有一氣體流(密度= 1.26 kg/m 3 )由貯氣筒通過直徑 D 0.03 m 的管路排放 至大氣中,管路前端銜接直徑 d 0.01 m 的噴嘴,如圖一所示,圖中點(1)、 (2)、(3)保持一水平線。在貯氣筒內的錶(gage)壓力保持在 3.0 kPa ,而大 氣狀態為常溫與常壓。試求在管路中的流量(單位採 cms)與壓力(單位 採 Pa)。(20 分)
#570115
相關試卷
115年 - 115 身心障礙特種考試_三等_水利工程:流體力學#138962
115年 · #138962
114年 - 114 地方政府公務特種考試_三等_水利工程:流體力學#134777
114年 · #134777
114年 - 114 地方政府公務特種考試_四等_水利工程:流體力學概要#134736
114年 · #134736
114年 - 114 專技高考_水利工程技師:流體力學#133675
114年 · #133675
114年 - 114 公務升官等考試_薦任_水利工程:流體力學#133259
114年 · #133259
114年 - 114 普通考試_水利工程:流體力學概要#128762
114年 · #128762
114年 - 114 高等考試_三級_水利工程:流體力學#128749
114年 · #128749
114年 - 114 身心障礙特種考試_三等_水利工程:流體力學#126638
114年 · #126638
113年 - 113 地方政府公務特種考試_三等_水利工程:流體力學#124528
113年 · #124528
113年 - 113 地方政府公務特種考試_四等_水利工程:流體力學概要#124496
113年 · #124496