阿摩線上測驗
登入
首頁
>
交通控制
>
100年 - 100 地方政府特種考試_三等_交通技術:交通控制#23543
> 申論題
申論題
試卷:100年 - 100 地方政府特種考試_三等_交通技術:交通控制#23543
科目:交通控制
年份:100年
排序:0
申論題資訊
試卷:
100年 - 100 地方政府特種考試_三等_交通技術:交通控制#23543
科目:
交通控制
年份:
100年
排序:
0
題組內容
三、某路口號誌設計相關資料如下:
⑴採用二時相時制,第一時相為東西向,第二時相為南北向。
⑵各車道的流量與飽和流量比值為:東端為 0.33、西端為 0.45、南端為 0.35、北端 為 0.30。
⑶週期總損失時間為 L=6 秒。
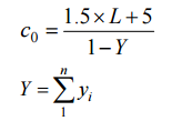
⑷Webster 的最佳週期公式為:
c
0
:最佳週期
L:總損失時間
y
i
:第 i 時相,各車道中最大之流量對飽和流量比值 Y : y
i
的總和
請回答下列問題,並詳列計算步驟,資料若有不足處,請自行假設:(每小題 5 分, 共 20 分)
申論題內容
(二)計算總有效綠燈時間G
e
。