阿摩線上測驗
登入
首頁
>
自動控制學
>
112年 - 112 高等考試_三級_機械工程:自動控制#115741
> 申論題
題組內容
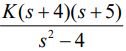
三、考慮一單位負回授(unity negative feedback)閉迴路(closed-loop)控制系統,其開迴路(open-loop)轉移函數為
。
(二)設定K為正數。繪製此閉迴路控制系統之根軌跡圖(root locus plot) ,並標示出極點(pole) 、零點(zero)、根軌跡與虛數軸交會之位置、根軌跡離開實數軸的位置(breakaway point)與進入實數軸的位置(re-entry point),以及各所對應之K值。 (20分)
相關申論題
(一)假設K = 1且輸入為ㄧ單位步階(unit step)函數,求解輸出y(t)。
#494724
(二)假設K = 1,求解此系統之增益邊界(gain margin),以分貝(dB)為單位。
#494725
(三)如欲使此系統之相位邊界(phase margin)為135°,比例控制器K值該如何設計?
#494726
(一)求解此系統之轉移函數(transfer function) ,,其中代表拉普拉斯轉換(Laplace transform)。(10分)
#494727
(二)繪出此系統(輸入為F,輸出為θ)之波德圖(Bode plot)以表示其之頻率響應。波德圖應包含以分貝(dB)為單位之增益(gain)圖與相位 (phase)圖兩個部分。(20分)
#494728
(一)欲使此閉迴路控制系統穩定之K值範圍為何?(5分)
#494729
(三)如欲使此閉迴路控制系統對於步階輸入之2%安定時間(settling time)為2秒,則K值該如何設計?且此設計下控制系統的阻尼比(damping ratio)應為何?(10分)
#494731
(四)如欲使此閉迴路控制系統對於步階輸入之穩態誤差(steady state error)為-10%,則K值又該如何設計?(5分)
#494732
(二)試在複數平面上畫出此閉迴路極點的範圍使系統滿足:超越量百分比 (percent overshoot)%OS<10%(亦即阻尼比 ξ>0.6 ),且 2%安定時間 (settling time)小於 8 秒。(20 分)
#570293
(一)試求此開迴路之轉移函數 G(s) 。(5 分)
#570292
相關試卷
115年 - 115 關務特種考試_三等_機械工程(選試英文):自動控制#138983
115年 · #138983
114年 - 114 高等考試_二級_機械工程:自動控制學#131590
114年 · #131590
114年 - 114 關務特種考試_三等_機械工程(選試英文):自動控制#126653
114年 · #126653
113年 - 113-2 國營臺灣鐵路股份有限公司_從業人員甄試_第8階-助理工程師-電機:自動控制#137141
113年 · #137141
113年 - 113 高等考試_二級_機械工程:自動控制學#123065
113年 · #123065
113年 - 113 關務特種考試_三等_機械工程(選試英文):自動控制#119475
113年 · #119475
112年 - 112 地方政府特種考試_三等_機械工程:自動控制#118354
112年 · #118354
112年 - 112 高等考試_二級_機械工程:自動控制學#116760
112年 · #116760
112年 - 112 高等考試_三級_機械工程:自動控制#115741
112年 · #115741
112年 - 112 關務特種考試_三等_機械工程:自動控制#113920
112年 · #113920