阿摩線上測驗
登入
首頁
>
工程數學(應用數學, 線性代數、微分方程、複變函數與機率)
>
111年 - 111 鐵路、國家安全情報特種考試_高員三級、三等_電力工程、電子工程、電子組(選試英文):工程數學#108623
> 申論題
題組內容
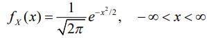
四、設X是高斯隨機變數(Gaussianrandomvariable),且期望值(expected value)E(X)為0,變異數(variance)VAR(X)為1,並具有下列機率密度函數(probabilitydensityfunction)
(二)設Z=X
2
。求Z的期望值與機率密度函數。(5分)
相關申論題
一、請利用拉普拉斯轉換(Laplacetransform)求解下列微分方程式,其中。y" +y sin 2t , y(0) = 0 , y'(0) = 1。(15 分)
#466151
(一)求A的所有特徵值(eigenvalues)與特徵向量(eigenvectors)。(5 分)
#466152
(二)求A5-2A4-A3+2A2+3A+2I,其中I是2 ✖ 2 單位矩陣 ( identity matrix)。(5 分)
#466153
(三)求An,其中n是任意正整數。(5分)
#466154
三、請利用留數(residue)計算。(10 分)
#466155
(一)設 Y= 3 X+2 。求 Y 的期望值與機率密度函數。(5 分)
#466156
(二)求得矩陣 A 之零空間(Null Space)N( A )。(10 分)
#557492
(一)求得線性方程式 Ax=b 之完整解(Complete Solution) 。(20 分)
#557491
四、假設週期函數f(x)之週期為 2π,f(x)=。計算f(x)之傅氏級數(Fourier Series)。(20 分)
#557490
三、求解以下初始值問題之常微分方程式:。 (20 分)
#557489
相關試卷
114年 - 114 專技高考_電機工程技師:工程數學(包括線性代數、微分方程、複變函數與機率)#133679
114年 · #133679
114年 - 114 專技高考_電子工程技師:工程數學(包括線性代數、微分方程、向量分析、複變函數與機率)#133677
114年 · #133677
114年 - 114 調查特種考試_三等_電子科學組:工程數學#129578
114年 · #129578
114年 - 114 國家安全情報特種考試_三等_電子組(選試英文):工程數學#127780
114年 · #127780
113年 - 113 專技高考_電子工程技師:工程數學(包括線性代數、微分方程、向量分析、複變函數與機率)#123976
113年 · #123976
113年 - 113 專技高考_電機工程技師:工程數學(包括線性代數、微分方程、複變函數與機率)#123971
113年 · #123971
113年 - 113 調查特種考試_三等_電子科學組:工程數學#122110
113年 · #122110
113年 - 113 身心障礙特種考試_三等_電力工程:工程數學#119517
113年 · #119517
112年 - 112 地方政府特種考試_三等_電力工程、電子工程:工程數學#118376
112年 · #118376
112年 - 112 專技高考_電機工程技師:工程數學(包括線性代數、微分方程、複變函數與機率)#117639
112年 · #117639