阿摩線上測驗
登入
首頁
>
工程數學(應用數學, 線性代數、微分方程、複變函數與機率)
> 111年 - 111 鐵路、國家安全情報特種考試_高員三級、三等_電力工程、電子工程、電子組(選試英文):工程數學#108623
111年 - 111 鐵路、國家安全情報特種考試_高員三級、三等_電力工程、電子工程、電子組(選試英文):工程數學#108623
科目:
工程數學(應用數學, 線性代數、微分方程、複變函數與機率) |
年份:
111年 |
選擇題數:
20 |
申論題數:
7
試卷資訊
所屬科目:
工程數學(應用數學, 線性代數、微分方程、複變函數與機率)
選擇題 (20)
1.
,其反矩陣(Inverse matrix)為
,下列何者正確?(A) a = -0.1 (B) b = 0.1 (C) c = 0.2 (D) d = 0.3
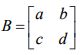
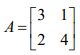
2. 矩陣
而矩陣
, 則此二矩陣的乘積AB之行列式值 (Determinant)為何? (A) det( AB) = 24 (B) det( AB) = -24 (C) det( AB) = 12 (D) det( AB) = -12
3. 下列那一個矩陣具有反矩陣(Inverse matrix)?(A)
(B)
(C)
(D)
4. 向量a=[1,2,3],向量b=[-4,-5,-6],設兩向量之夾角為θ,則cosθ = ?(A)
(B)
(C)
(D)
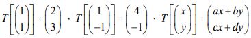
5. T是R
2
到R
2
的線性轉換,
下列何者正確? (A)a =5 (B)b = 4 (C)c = 3 (D)d = 2
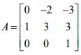
6. 矩陣
,則A
2
的特徵值(eigenvalues),不可能是下列那一個? (A)9 (B)1 (C) 16 (D)4
7. 矩陣
的3個特徵向量(eigenvectors)為
,則下列敘述何者錯 誤? (A)
是 A
3
+ 6 A
2
的一個特徵向量 (B)
是 A
5
- 3 A
4
+ 2 A
2
的一個特徵向量 (C)
是 A
2
- 2 A 的一個特徵向量 (D)
是 A
5
+ 4 A
3
- A 的一個特徵向量
8. 下列何者不是「可對角化的(Diagonalizable)」矩陣?(A)
(B)
(C)
(D)
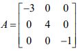
9. 給定
,則下列敘述何者錯誤? (A)
(B)
(C)θ = 0 (D)Y = 0
10. 下列的複數函數中,何者是解析函數(Analyticfunction)?(A)f(x,y)=x
2
-iy
2
(B) f ( x, y) = x - iy (C) f ( x, y ) = x
2
+ y
2
- 2 y + i(2 xy - 2 x) (D) f ( x, y ) = x
2
- y
2
- 2 y + i(2 xy + 2 x)
11. 令C:|z|=3為以原點為圓心而半徑為3的圓周,則逆時鐘繞著C轉一圈所計算出來的複數積分
之值為何? (A) -πi (B) 2π i (C) -2π i (D)0
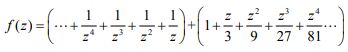
12. 複數無窮級數
的收斂區域( Region of convergence)為何? (A)1 < |z | < 3 (B)
(C)
(D) |z | > 3或 |z | <1
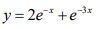
13. 二階常微分方程式y"+4y'+3y=0,y(0)=3,y'(0)=-5的解為何?(A)
(B)
(C)
(D)
14. 二階常微分方程式(x-2)
2
y"-5(x-2)y'+8y=0的解之型式為何? (A) y = c
1
( x - 2)
3
+ c
2
(x - 2)
5
(B) y = c
1
( x - 2)
2
+ c
2
( x - 2)
6
(C) y = c
1
( x - 2)
3
+ c
2
( x - 2)
4
(D) y = c
1
( x - 2)
2
+ c
2
( x - 2)
4
15. 利用拉普拉斯轉換(Laplacetransform)解下列二階微分方程式y"+5y'+6y=2δ(t-1),y(0)=0 , y'(0) = 0 ,其中 δ (t ) 為脈衝函數(unit impulse),對於 t > 1 ,下列何者正確?(A)
(B)
(C)
(D)
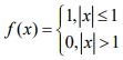
16. 函數
且 f ( x + 2π ) = f ( x) , 傅立葉級數 ( Fourier series ) 展開成
,則 a + b + c + d = ? (A)1 (B)2 (C)3 (D)4
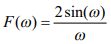
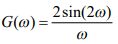
17. 已知函數
傅立葉轉換 ( Fourier transform ) 為
,則函數
的傅立葉轉換 G (ω ) 應該為何者?(A)
(B)
(C)
(D)
18. 某一種Covid-19的檢測方式,可將90%的Covid-19感染者判為陽性,但是會將10%的感染者誤判為陰性(偽陰性,Falsenegative)。而這種檢測方式又會將95%的Covid-19非感染者判為陰 性,但有 5%的非感染者則會被誤判為陽性(偽陽性,False positive)。假設某地區實際上只有 10% 的 Covid-19 感染者,那麼隨機選擇該地區一個居民,以此種檢測方式做檢驗,結果此居民為陽性反應,請問這位居民真正感染 Covid-19 的機率是多少? (A)
(B)
(C)
(D)
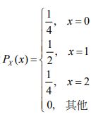
19. 機率質量函數
,若 X 期望值為 a 和變異數為 b ,則下列何者正確? (A)a = 2 (B)
(C)
(D) b =1
20. 已知X和Y聯合分布機率密度函數(Jointprobabilitydensityfunction)為
下列何者錯誤? (A)在 0 ≤ x ≤1 , f
X
( x) = 2 x (B)在 0 ≤ y ≤1 , f
Y
( y) = 2(1 - y) (C)條件機率密度函數
(D)條件機率密度函數
申論題 (7)
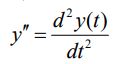
一、請利用拉普拉斯轉換(Laplacetransform)求解下列微分方程式,其中
。y" +y sin 2t , y(0) = 0 , y'(0) = 1。(15 分)
(一)求A的所有特徵值(eigenvalues)與特徵向量(eigenvectors)。(5 分)
(二)求A
5
-2A
4
-A
3
+2A
2
+3A+2I,其中I是2 ✖ 2 單位矩陣 ( identity matrix)。(5 分)
(三)求A
n
,其中n是任意正整數。(5分)
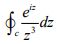
三、請利用留數(residue)計算
。(10 分)
(一)設 Y= 3 X+2 。求 Y 的期望值與機率密度函數。(5 分)
(二)設Z=X
2
。求Z的期望值與機率密度函數。(5分)
相關試卷
114年 - 114 專技高考_電機工程技師:工程數學(包括線性代數、微分方程、複變函數與機率)#133679
114年 · #133679
114年 - 114 專技高考_電子工程技師:工程數學(包括線性代數、微分方程、向量分析、複變函數與機率)#133677
114年 · #133677
114年 - 114 調查特種考試_三等_電子科學組:工程數學#129578
114年 · #129578
114年 - 114 國家安全情報特種考試_三等_電子組(選試英文):工程數學#127780
114年 · #127780
113年 - 113 專技高考_電子工程技師:工程數學(包括線性代數、微分方程、向量分析、複變函數與機率)#123976
113年 · #123976
113年 - 113 專技高考_電機工程技師:工程數學(包括線性代數、微分方程、複變函數與機率)#123971
113年 · #123971
113年 - 113 調查特種考試_三等_電子科學組:工程數學#122110
113年 · #122110
113年 - 113 身心障礙特種考試_三等_電力工程:工程數學#119517
113年 · #119517
112年 - 112 地方政府特種考試_三等_電力工程、電子工程:工程數學#118376
112年 · #118376
112年 - 112 專技高考_電機工程技師:工程數學(包括線性代數、微分方程、複變函數與機率)#117639
112年 · #117639