阿摩線上測驗 登入

申論題資訊

試卷:111年 - 111 鐵路、國家安全情報特種考試_高員三級、三等_電力工程、電子工程、電子組(選試英文):工程數學#108623
科目:工程數學(應用數學, 線性代數、微分方程、複變函數與機率)
年份:111年
排序:0

題組內容

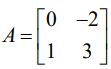
二、設62b159e5c236a.jpg

申論題內容

(一)求A的所有特徵值(eigenvalues)與特徵向量(eigenvectors)。(5 分)

詳解 (共 1 筆)

詳解 提供者:電子荔枝

|0-λ  -2 |

|1      3

-λ(3-λ)+2 =λ2-3λ+2 =(λ-1)(λ-2)=0

特徵值λ =1, 2

特徵向量X:(A-λI)X=0

λ1=1, X1= [ 2 

              -1] 

λ2=2, X2=[ 1 

              -1]