阿摩線上測驗
登入
首頁
>
工程數學(應用數學, 線性代數、微分方程、複變函數與機率)
>
113年 - 113 專技高考_電機工程技師:工程數學(包括線性代數、微分方程、複變函數與機率)#123971
> 申論題
題組內容
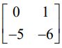
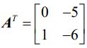
四、一矩陣 A =
,其轉置矩陣
。
(二)試求該對稱矩陣 P 的兩特徵值。
相關申論題
一、試求常微分方程式 y ''-4 y'+5y=之通解。
#526981
二、試求一時間函數 f(t)=, t ≥ 0, β ≠ 0 之拉普拉斯轉換(Laplace Transform)F(s)。
#526982
三、試以剩值定理(Residue Theorem)求之值。
#526983
(一)試求另一 2x2 對稱矩陣 P 滿足下列矩陣方程式,。
#526984
五、(一)一曲線 C,其表示式為 r(t)= [3t ,4t2 ,8t4 ],t 為參數,試求其切線向量與單位切線向量。
#526986
(二)試求一向量函數 F =之面積分,其中 n 為 dA 指S向外的法線方向單位向量,且此有界封閉曲面的表示式為S : x2+y2+z2=9。
#526987
(一)試求 k 值。
#526988
(二)試求其邊際平均值(Marginal Mean),E{Y}。
#526989
(三)試求其期望值(Expected value),E{ X3Y2}。
#526990
(二)求得矩陣 A 之零空間(Null Space)N( A )。(10 分)
#557492
相關試卷
114年 - 114 專技高考_電機工程技師:工程數學(包括線性代數、微分方程、複變函數與機率)#133679
114年 · #133679
114年 - 114 專技高考_電子工程技師:工程數學(包括線性代數、微分方程、向量分析、複變函數與機率)#133677
114年 · #133677
114年 - 114 調查特種考試_三等_電子科學組:工程數學#129578
114年 · #129578
114年 - 114 國家安全情報特種考試_三等_電子組(選試英文):工程數學#127780
114年 · #127780
113年 - 113 專技高考_電子工程技師:工程數學(包括線性代數、微分方程、向量分析、複變函數與機率)#123976
113年 · #123976
113年 - 113 專技高考_電機工程技師:工程數學(包括線性代數、微分方程、複變函數與機率)#123971
113年 · #123971
113年 - 113 調查特種考試_三等_電子科學組:工程數學#122110
113年 · #122110
113年 - 113 身心障礙特種考試_三等_電力工程:工程數學#119517
113年 · #119517
112年 - 112 地方政府特種考試_三等_電力工程、電子工程:工程數學#118376
112年 · #118376
112年 - 112 專技高考_電機工程技師:工程數學(包括線性代數、微分方程、複變函數與機率)#117639
112年 · #117639