題組內容
二、溫度 330 K 之空氣以 10 m/s 流入內直徑(inner diameter) 25 mm 之管線,管線內壁溫度維持 在 415 K 恆溫,流入之空氣被加熱後溫度呈線性上升。已知空氣於管內流動造成之壓力降 (pressure drop)為每公尺 80 N/m2 (牛頓/平方公尺),空氣密度為 1.1 kg/m3。請回答下列問題:(2 題,共 15 分)
(二)請使用雷諾類比法計算空氣進入管線 0.6 m 時溫度為多少 K (計算至小數後第 1 位,以下四捨五入)?(9 分)
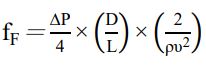
註:依雷諾類比法,熱傳之斯坦頓數(Stanton number
壁表摩擦係數(skin friction factor)
(∆P 為壓力降,D 為管線直徑,L為管長,ρ 為流體密度,υ 為流體平均流速)