題組內容
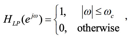
三、假 設 一 理想 的低 通 濾 波器 ( low-pass filter) 的 頻 率 響 應( frequency response)如下所示:
假設 hLP [n] 為該低通濾波器 H LP (e jω ) 的脈衝響應(impulse response),請 回答以下的問題:(每小題 5 分,共 20 分)
(四)若
,請問 h[n]為何種濾波器?
三、假 設 一 理想 的低 通 濾 波器 ( low-pass filter) 的 頻 率 響 應( frequency response)如下所示:
假設 hLP [n] 為該低通濾波器 H LP (e jω ) 的脈衝響應(impulse response),請 回答以下的問題:(每小題 5 分,共 20 分)
(四)若
,請問 h[n]為何種濾波器?