阿摩線上測驗
登入
首頁
>
統計學
>
109年 - 109 高等考試_三級_統計:統計學#88655
> 申論題
題組內容
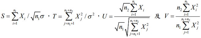
一、設隨機變數X服從平均數μ = 0,標準差為σ 的常態分配;即X~N(0,σ
2
), 又 X
1
,X
2
,...,X
n1
,X
n1+1
,X
n1+2
,...,X
n1+n2
為抽自X之一組大小為n
1
+ n
2
之隨機樣本,令統計量:
試問
(四)V之機率分配為何?
相關申論題
(一)S之機率分配為何?
#359387
(二)T之機率分配為何?
#359388
(三)U之機率分配為何?
#359389
(一)試以動差法(method of moments estimation)求θ之點估計值
#359391
(二)試以最大概似法(method of maximum likelihood estimation)求θ之點估計值
#359392
三、甲公司A廠為日產500個小型變壓器的工廠,該廠品管經理隨機抽出10天的生產資料,並記錄其不良品數如下表: 根據此樣本資料,是否顯示該廠每日產品的不良品數中位數(M)為20? 試取顯著水準α = 0.05,以符號檢定法檢定之。
#359393
(一)操作員和機器間有無交互作用?請說明依據。
#359394
(二)若不考慮交互作用,而將機器當做集區(Block),再做變異數分析。在此模式下,請寫出其ANOVA表,並試問操作員之平均操作時間是否有顯著差異?請說明依據。
#359395
(三)若不考慮機器間的差異,只討論操作員的單一因子的變異數分析。則在此模式下,請寫出其ANOVA表,並試問操作員之平均操作時間是否有顯著差異?請說明依據。
#359396
(一)試求經季節調整後之108年第4季在桃園國際機場入境來臺外國旅客人 數 y108.4 =?
#359397
相關試卷
115年 - 115 身心障礙特種考試_四等_經建行政:統計學概要#138995
115年 · #138995
115年 - 115 關務特種考試_三等_關稅統計(選試英文):統計學#138987
115年 · #138987
115年 - 115 身心障礙特種考試_三等_統計:統計學#138977
115年 · #138977
115年 - 115 關務特種考試_四等_關稅統計(選試英文):統計學概要#138961
115年 · #138961
115年 - 115 身心障礙特種考試_三等_經建行政:統計學#138960
115年 · #138960
114年 - 114 地方政府公務、離島地區公務特種考試_三等_經建行政、農業行政:統計學#134798
114年 · #134798
114年 - 114 地方政府公務、離島地區公務特種考試_四等_經建行政:統計學概要#134781
114年 · #134781
114年 - 114 地方政府公務特種考試_三等_統計:統計學#134714
114年 · #134714
114年 - 114 地方政府公務特種考試_四等_統計:統計學概要#134710
114年 · #134710
114年 - 114 公務升官等考試_薦任_經建行政、工業行政:統計學#133268
114年 · #133268