阿摩線上測驗
登入
首頁
>
教甄◆數學
>
115年 - 115-1 臺北市立第一女子高級中學_正式教師甄選測驗題試題:數學科#138077
> 申論題
題組內容
二、計算證明題
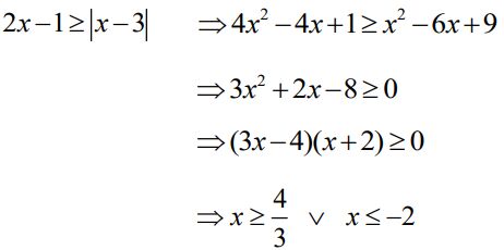
1. 小綠寫作業,解不等式 2x -1≥|x − 3| ,她的過程如下:
(1)如果您是小綠的老師,請指出錯誤之處?該如何向她解釋?
相關申論題
1. 已知函數f (x)= a sin x+b cos x(0 ≤2 x 2π)的最大值為 7,最小值為 3,且最大值發生在 ,則序對( a, b, c) = _______ 。
#565361
2. 已知n ≥時,數列滿足: +5n< <7n+10,則=_______。
#565362
3. 將5枚棋子放在5 ×5 的方格中(如下圖),規定每一行與每一列最多只能擺放一枚棋子,且不能放在黑色小方格內,則共有_______種放法。
#565363
4. 設k > 0,若方程式(x+ki)6 =64i(其中i =√ −1)有實數解,則所有k的可能值總和為 _______。
#565364
5. 有兩數列,已知是公比為的等比數列,且,則=_______。
#565365
6. 已知△ABC中,點D為上一點,滿足∠ BAD =∠2DAC ,若= 2,= 3, =4,則 =_______。
#565366
7. 已知直角三角形ABC中, ∠C= 90°,且= 20, =26。令Γ1為△ABC的外接圓,再作一圓Γ2與均相切,且與Γ1內切,則Γ2的半徑長為_______ 。
#565367
8. 空間中有四個點O A B C ,,,,其中三向量兩兩夾角皆為30°,已知,則張出的 四面體 體積為_______。
#565368
9. 已知數列滿足遞迴式 ,且,則的一般式為_______ 。(以n表示)
#565369
(2)請用三種不同的方法,教導學生解不等式|x −1|≥ |2x −5| 。
#565371
相關試卷
115年 - 115-1 國立嘉科實驗高級中學_教師甄選試題_高中部:數學科#138615
115年 · #138615
115年 - 115-1 臺北市立大同高級中學_教師甄選初選試題:高中數學科#138591
115年 · #138591
115年 - 115-1 臺北市立大安高工教師甄選試題:數學科#138455
115年 · #138455
115年 - 115-1 國立臺灣師範大學附屬高級中學_專任教師甄選試題:數學科#138411
115年 · #138411
115年 - 115-1 國立臺灣師範大學附屬高級中學_專任教師甄選試題:數學科#138410
115年 · #138410
115年 - 115-1 國立臺灣師範大學附屬高級中學_專任教師甄選試題:數學科#138409
115年 · #138409
115年 - 115-1 臺北市立麗山高級中學_正式教師甄選試題:數學科#138397
115年 · #138397
115年 - 115-1 國立臺南一中_教師甄選初試試題:數學#138376
115年 · #138376
115年 - 115 國立嘉科實驗高級中學_國小部普通班教師甄選試題:數學#138356
115年 · #138356
115年 - 115-1 國立中央大學附屬中壢高級中學教師甄選試題:數學科#138235
115年 · #138235