阿摩線上測驗
登入
首頁
>
教甄◆數學
>
114年 - 114-1 國立竹北高中_教師甄選:數學科#125885
> 申論題
題組內容
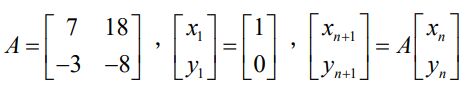
2.矩陣
,其中n=1,2,3,...,坐標平面上點
,則:
(1)對所有自然數n,
均落在坐標平面上一直線L上,試求L之方程式。(1分,無須過程)
相關申論題
1.若,則f(x)=__________。
#534654
2.若x為正實數,,則當恆為一定值時,a之最大範圍為__________。
#534655
3.設一球面半徑為2,球心在直線上。令此球面與xy平面、yz平面、xz平面所交的圓面積和為S,且當S有最大值M時,此時的球心座標為(a,b,c),求序對(M,a,b,c)=__________。
#534656
4.在複數平面上,已知Z1,z2互為共軛複數,滿足|z1-z2|=4√3,且,則|z1|=__________。
#534657
5.從正整數1到99中任取9個數字,假設取出的9個數字中最小的數字為X,則X的期望值E(X)=_________。
#534658
6.如下圖(一),在一張邊長為6公分的正方形摺紙圖案中,△OAB為邊長2公分的正三角形,△COA與△CAB與△CBO為三個全等的等腰三角形。將此圖案沿著邊界剪下,組成一個三角錐C-OAB,則三角錐C-OAB之體積為__________立方公分。
#534659
7.若a>0,函數y=f(x)=x3-3a2x的圖形與方程式|x|+|y|=2之圖形,有6個相異之交點,則a之範圍為__________。
#534660
8.已知數列滿足,設,則=_________。(以n表示)
#534661
9.△ABC中,,∠BAC=2θ,0<θ<,若△ABC之外接圓半徑為R,內切圓半徑為r,則之最大值為__________。
#534662
10.如右圖(二),垂直於梯形ABCD所在的平面,∠ADC=∠BAD=90°,=2,,四邊形PDCE為矩形,若F為中點,Q為上一點,且與平面BCP所夾的角為,則=________。
#534663
相關試卷
115年 - 115 桃園市立陽明高中_教師甄選試題:數學科#139018
115年 · #139018
115年 - 115 國立高科實驗高級中等學校_專任教師甄選_國小部:普通科(數學)#138942
115年 · #138942
115年 - 115-1 國立彰化女子高級中學_教師甄選試題:數學科#138761
115年 · #138761
115年 - 115-1 臺中市立文華高級中等學校_教師甄選專業知能試題:數學科#138727
115年 · #138727
115年 - 115-2 台北市立建國高級中學_正式教師甄選試題:數學科#138704
115年 · #138704
115年 - 115-1 國立嘉科實驗高級中學_教師甄選試題_國中部:數學科#138695
115年 · #138695
115年 - 115-1 臺北市立中正高級中學_專任教師甄選初試試題:數學科#138690
115年 · #138690
115年 - 115-1 國立羅東高中_教師甄選初試︰數學科#138675
115年 · #138675
115年 - 115-1 臺南市立沙崙國際高級中學高中部_教師甄選試題:數學科#138673
115年 · #138673
115年 - 115-1 國立蘭陽女子高級中學_教師甄選試題︰數學科#138666
115年 · #138666