所屬科目:教甄◆數學
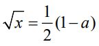
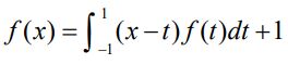
1.若,則f(x)=__________。
2.若x為正實數,,則當恆為一定值時,a之最大範圍為__________。
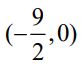
3.設一球面半徑為2,球心在直線上。令此球面與xy平面、yz平面、xz平面所交的圓面積和為S,且當S有最大值M時,此時的球心座標為(a,b,c),求序對(M,a,b,c)=__________。
4.在複數平面上,已知Z1,z2互為共軛複數,滿足|z1-z2|=4√3,且,則|z1|=__________。
5.從正整數1到99中任取9個數字,假設取出的9個數字中最小的數字為X,則X的期望值E(X)=_________。
6.如下圖(一),在一張邊長為6公分的正方形摺紙圖案中,△OAB為邊長2公分的正三角形,△COA與△CAB與△CBO為三個全等的等腰三角形。將此圖案沿著邊界剪下,組成一個三角錐C-OAB,則三角錐C-OAB之體積為__________立方公分。
7.若a>0,函數y=f(x)=x3-3a2x的圖形與方程式|x|+|y|=2之圖形,有6個相異之交點,則a之範圍為__________。
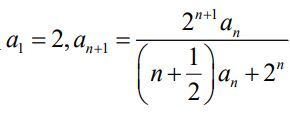
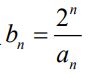
8.已知數列滿足,設,則=_________。(以n表示)
9.△ABC中,,∠BAC=2θ,0<θ<,若△ABC之外接圓半徑為R,內切圓半徑為r,則之最大值為__________。
10.如右圖(二),垂直於梯形ABCD所在的平面,∠ADC=∠BAD=90°,=2,,四邊形PDCE為矩形,若F為中點,Q為上一點,且與平面BCP所夾的角為,則=________。
11.已知函數f(x)的定義域是實數R,且f(x+2)-2是奇函數,f(2x+1)是偶函數。若f(1)=0,試求f(1)+f(2)+...+f(2025)=_________。
12.設(x,y)滿足,則2x-y的最小值為________。
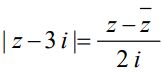
13.在複數平面上,滿足之所有z所形成的圖形為Γ,其中i=√1,z為z之共軛複數。若z∈Γ,則|z+2-4i|+|z-3i|之最小值為_________。
14.已知函數f(x)=x2-x+在x=a時有最小值m,則數對(a,m)=_________。
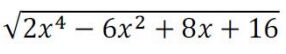
15.設,0<x<1,則g(x)=f(x)+f(1-x)的最小值為__________。
16.如右圖(三),圓O1、圓O2都與直線L:y=kx及x軸相切,若兩圓半徑的乘積為2,且兩圓的一個交點為P(2,2),則L的直線方程式為____________。
1.已知橢圓的左焦點為F1,過F1的直線L交橢圓Γ於A、B兩點,點Q的座標為。若且直線L的斜率為正,求直線L的斜率。
(1)對所有自然數n,均落在坐標平面上一直線L上,試求L之方程式。(1分,無須過程)
(2)試證明(1)之結論。
(3)試以n表示nx與ny。
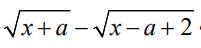
3.若正數x,y滿足xy=4000,且(log x-log 2)=,則x,y中較大數的整數部分為幾位數?