所屬科目:教甄◆數學
1. 設 a 、b 、c 皆為正整數,且 a<b<c ,已知a+b+c+ab+ca=376,則序對 (a ,b ,c ) =_______ 。
2. 已知甲、乙、丙、丁、…共 16 人任意平分成 4 組,每組 4 人,則甲、乙同組且丙、丁不同組的機率 為________。
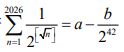
3. 已知 [x] 表示不大於 x 的最大整數,若 ,其中 a 為一位數正整數, b 為二位數正整數, 則 a +b =________。
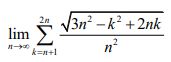
4. 試求極限值的值為___________。
5. 已知的反函數為 y= g(x) ,將 y= g (x) 對 y 軸對稱後為 y =h(x) ,再將 y= h (x) 對 x +y = 0 對稱後為 y= k (x) 。直線 y=- x +11 分別和 y= f (x) 、 y= g (x) 交於點 A(3,8) 、點 B ;直線 y= x+11 分別和 y= h (x) 、 y= k (x) 交於點 C 、點 D ,則四邊形 ABCD 的面積為_______ 。
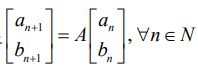
6. 設 ,且矩陣 A 滿足 。已知矩陣 A 為不可逆的轉移矩陣,且 , 則矩陣 A =_______ 。
7. 平面上有△ABC ,其中點 A(1,5) 、點 B(7,2) ,且 △ABC 的面積為 15。設 P 為圓x2+y2+14x+12y+80=0 上一 點,則當 長為最小時, C 點坐標為 _______。
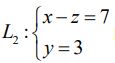
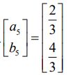
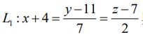
8. 已知 P 點到直線 與直線的投影點分別為 A(-5, a ,b ) 與 B( c, d ,0) , 且 ,則 P 點坐標為_______ 。
9. 平面上有一個中心為 O 點, F1、 F2 為兩焦點的橢圓 Γ1 ,且 A 點為其短軸上其中一個頂點。另有一個以 O 點為焦點, A 點為頂點,且過點 F1、 F2 的拋物線 Γ2 。已知 Γ1 與 Γ2 有 P 、Q 、 A 三個交點,則 =_______ 。
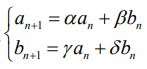
10. 在數列 中,已知首項,且遞迴關係式為 (其中 n ≥ 2 ), 求此數列的一般項 為_____________。
11. 設 f x( ) 為一實係數三次多項式。已知 f (x) 除以(x-2)2 的餘式為12x-20;且 f (x) 除以(x-4)2的餘式為12x-36 。若y=f(x) 的對稱中心為 ( h,f (h )) ,則 x ‧f(x) 除以(x-h)(x-2)(x-4)的餘式為_____________。
12. 用 12 根鋼條架構出一個正立方體的裝置藝術,今將其斜立在公園的平地上,如圖所示。為了穩固此裝置藝術, 除了將 O 點落在地面上,還在 A B C , , 三處各架上一根垂直地面的鐵柱,分別為。若已知正立方 體的邊長為 13 公尺,且點 A 到地面的垂直距離 為 3 公尺,點 B 到地面的垂直距離 為 4 公尺,試求該正立 方體中,距離地面最遠的頂點其高度為________公尺。
13. 如圖, △ABC 中, 。已知 是 ∠BAC 的平分線交 於 D 點。 設 E 點在上且滿足 ,又 交於 G 點,則 △ACG 的外接圓面積為_______ 。
14. 已知三正數 x 、 y 、 z 滿足x2+4y2+4z2=12,則的最大值為________。