阿摩線上測驗
登入
首頁
>
轉學考-線性代數
>
91年 - 91 淡江大學 轉學考 線性代數#56131
> 申論題
題組內容
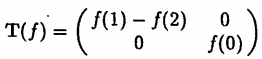
(b) IfT:P
2
(R) —M
2x2
by
Then
(2) Is T onto?(If yes, prove it. Otherwise, explain your answer)
相關申論題
(a) U is onto.
#213250
(b) The null spaces of T and U are finite-dimensionai. Then the null space of TU is finite-dimensional, and dim(N(TU)) = dzm(N(T)) + dim(N(V)).
#213251
(a) Find the orthonormal basis 0 of (y1,y2,y3).
#213253
(b) Find the coefficients of x = (2,1,3) in the orthonormal basis β.
#213254
(1) Suppose that i4 is an 8 x 8 matrix, A - I has nullity 2,(A - I)2 has nullity 4, (A- I)k has nullity 5 for ≥ 3, and (A + 2)j has nullity 3 for j ≥ 1.
#213255
(1) Is T one-to-one?(If yes’ prove it. Otherwise, explain your answer)
#213257
(2) Is T onto?(If yes, prove it. Otherwise, explain your answer)
#213258
(1) Is T one-to-one?(If yes, prove it. Otherwise, explain your answer)
#213259
(c) Determine whether the matrix A given in (a) is diagonalizable; if yes, please diagonalize it. (5%)
#214178
(b) Find the real eigenvalues and the corresponding eigenspaces of A. (10%)
#214177
相關試卷
105年 - 105年國安三等線性代數#55637
105年 · #55637
104年 - 104 淡江大學 轉學考 線性代數#53183
104年 · #53183
104年 - 104 淡江大學 轉學考 線性代數#53164
104年 · #53164
103年 - 103 淡江大學 轉學考 線性代數#55733
103年 · #55733
102年 - 102 淡江大學 轉學考 線性代數#53129
102年 · #53129
102年 - 102 淡江大學 轉學考 線性代數#53093
102年 · #53093
100年 - 100 淡江大學 轉學考 線性代數#55896
100年 · #55896
100年 - 100 淡江大學 轉學考 線性代數#55892
100年 · #55892
95年 - 95 淡江大學 轉學考 線性代數#56041
95年 · #56041
94年 - 94 淡江大學 轉學考 線性代數#56042
94年 · #56042