阿摩線上測驗 登入

申論題資訊

試卷:114年 - 114-1 臺中市立臺中第二高級中等學校_教師甄選試題:數學科#126466
科目:教甄◆數學
年份:114年
排序:0

題組內容

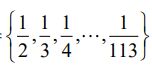
E. 用|S|表示集合S中元素的個數。已知集合S=,T={A⊆S||A|= 2n,n∈N},試回答下列問題:

申論題內容

(2)∀Ai∈T,將Ai中所有的元素相乘的乘積記為mi,再將所有的m₁相加,其和為M,求M之值?