阿摩線上測驗
登入
首頁
>
高中指考◆數學乙
>
109年 - 109(補考) 大學入學考試中心_指定科目考試:數學乙#89674
> 申論題
題組內容
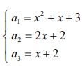
二 . 等比數列< a
n
> 的前三項可表為
,其 中 x 為 實 數。試 回 答 下 列 問 題。
(B)已知數列< a
n
> 的 每 一 項 都 是 有 理 數,試 求 x 的 值 及 所 對 應 的 公 比。( 4 分 )
相關申論題
A. 若 f (x) 為二次的實係數多項式函數,且滿足 f (0)+f (1)= 5 , f (1)+f(2)=17 , f (2)+f(0)=14 , 則 f ( x)=⑦ x2 +⑧ x +⑨ 。
#363727
B. 坐標平面上有不共線的三點 A,B , C 且 點 P 在線段上,並令 。 若 , 則 x 的值為, y 的值為。(化為最簡分數)
#363728
C. 某 實 驗 室 有 輻 射 外 洩,危 害 附 近 環 境。根 據 調 查:該 輻 射 第 一天汙染區域是一個以實驗室為中心,半徑 2 公里的圓形 區域,如圖中最內圓的圓內區域。第二天與第三天汙染區 域逐漸擴大,都是以實驗室為中心,但汙染半徑越來越大 的圓形區域,如圖中第二個與第三個同心圓的圓內區域。 已知輻射每天汙染區域依照上述同心圓的模式向外擴大區 域,而且新增汙染區域之面積都是前一天新增汙染區域面 積 的 倍,在汙染一直持續下去的條件下,全部汙染區域 會趨近於半徑為 公里的圓形區域。
#363729
D. 在所有滿足不等式 |4-3x|
#363730
(1) 已知連續兩年中,第一年「六人國」的人口數為 a ,第二年的人口數為 ka ,試求 k 的 值 。( 2 分 )
#363731
(2)利 用 log16 與 log18 的 近 似 值,以 內 差 法 求 log17 的 近 似 值。(計算至小數 點後第四位)( 4 分 )
#363732
(3)已知「六人國」現在的人口數很接近 10n (其中 n 為正整數),試求正整 數 n 的值。( 5 分)
#363733
(A) 試 求 x 的所有可能值。( 6 分 )
#363734
(C)已知數列 < an> 並 不 是 每 一 項 都 是 有 理 數,試 求 x 的 值 及 所 對 應 的 公 比。(5 分 )
#363736
18. 已知某人的農地收成時,甲水果每公畝可獲利6萬元、乙水果每公畝可獲利 7 萬元。 試求某 人種植甲、乙兩種水果的最大獲利為多少萬元 ? 在答題卷求解區寫出計算過程,並在答題卷作圖區畫出可行解區域及標出其所有頂點坐標,且以斜線標示該區域 。( 非選擇題, 8 分 )
#553361
相關試卷
114年 - 114 大學入學考試中心_分科測驗:數學乙#131153
114年 · #131153
110年 - 110 大學入學考試中心_指定科目考試:數學乙#99979
110年 · #99979
109年 - 109(補考) 大學入學考試中心_指定科目考試:數學乙#89674
109年 · #89674
109年 - 109 大學入學考試中心_指定科目考試:數學乙#87876
109年 · #87876
108年 - 108 大學入學考試中心_指定科目考試:數學乙#97808
108年 · #97808
107年 - 107 大學入學考試中心_指定科目考試:數學乙#97823
107年 · #97823
106年 - 106 大學入學考試中心_指定科目考試參考試卷:數學乙#114987
106年 · #114987
106年 - 106 大學入學考試中心_指定科目考試:數學乙#62741
106年 · #62741
105年 - 105 大學入學考試中心_指定科目考試:數學乙#53359
105年 · #53359
104年 - 104 大學入學考試中心_指定科目考試:數學乙#114989
104年 · #114989