阿摩線上測驗
登入
首頁
>
研究所、轉學考(插大)◆電磁學
>
110年 - 110 國立中山大學碩士暨碩士專班招生考試_光電系碩士班:電磁學#104298
> 申論題
題組內容
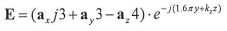
4. (16%) In free space, a uniform plane wave is expressed as:
(a) What is the value of k
z
? (4%)
相關申論題
1. (16%) Please derive the boundary conditions for static D and H across an interface of two media.
#441543
(a) polarization P in each region (10%) and
#441544
(b) capacitance C of the capacitor (10%).
#441545
(a) Write down the Maxwell's equations in phasor form. (12%)
#441546
(b) In a simple and nonconducting source-free medium, please derive the homogenous vector Helmholtz's equation for H. (8%)
#441547
(b) What is the corresponding H field? (6%)
#441549
(c) Please find out the time-average power flow per unit area normal to the direction of propagation. (6%)
#441550
5. (8%) For a transmission line system shown in Fig. 2, please find out the input impedance .
#441551
(a) For a uniform waveguide with arbitrary cross section as shown in Fig. 3(a), please derive the two- dimensional (2-D) vector phasor expression of transverse magnetic field components in terms of are 2-D vector phasors for Ez and Hz. (10%)
#441552
(b) For an air-filled metallic rectangular waveguide with the transverse dimensions a = 5.0cm and b = 3.0cm as shown in Fig. 3(b), if the operation wavelength is λ = 5.0cm, find out the modes which can appear on this waveguide. (10%)
#441553
相關試卷
114年 - 114 台灣聯合大學系統_碩士班招生考試試題_電機類:電磁學#138442
114年 · #138442
113年 - 113 台灣聯合大學系統_碩士班招生考試試題_電機類:電磁學#138444
113年 · #138444
112年 - [無官方正解]112 台灣聯合大學系統_碩士班招生考試試題_電機類:電磁學#138446
112年 · #138446
111年 - 111 台灣聯合大學系統_碩士班招生考試試題_電機類:電磁學#138448
111年 · #138448
110年 - 110 國立臺灣大學_碩士班招生考試_電信工程研究所甲組:電磁學及電磁波#113085
110年 · #113085
110年 - 110 國立臺灣科技大學_碩士班招生試題_電子工程系(丙組):電磁學#112842
110年 · #112842
110年 - 110 國立臺灣科技大學_碩士班招生試題_光電工程系:電磁學#111696
110年 · #111696
110年 - 110 國立臺北科技大學_碩士班招生考試_光電工程系碩士班:電磁學#108271
110年 · #108271
110年 - 110台灣聯合大學系統_碩士班招生考試_電機類:電磁學#105808
110年 · #105808
110年 - 110 國立中央大學_碩士班招生考試_光電類:電磁學#105700
110年 · #105700