阿摩線上測驗
登入
首頁
>
轉學考-線性代數
>
94年 - 94 淡江大學 轉學考 線性代數#56042
> 申論題
題組內容
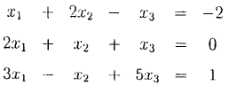
6. Given a linear system,
(b) (5 points) Solve the linear system by Cramer’s rule.
相關申論題
(a) (5 points) Find the standard matrix representation(標準矩陣表示式)of L.
#212624
(b) (5 points) Sliow that L is invertible(可逆).
#212625
(c) (5 points) Find a formula for L-1
#212626
(a) (5 points) lYansfer this system as a matrix form Ax = b and write down A and b.
#212628
(a) (10 points) Find the characterisLic polynomial(特徵多項式),the real eigenvalues(特 徵值)> and the coriesponding eigenvectors(特徵向簠)of A.
#212630
(b) (5 points) Find an invertible matrix C and a diagonal matrix(對角矩陣)D such that D 二 C-MC.
#212631
9. (10 points) Let P and Q be n x n matrices. We say P is similar to Q if there exists an invertible n x n matrix C such that C-lPC = Q. Prove that similar square matrices have the same eigenvalues with the same algebraic imilUplickies(代數重根數)•
#212633
(c) Determine whether the matrix A given in (a) is diagonalizable; if yes, please diagonalize it. (5%)
#214178
(b) Find the real eigenvalues and the corresponding eigenspaces of A. (10%)
#214177
,(a) Find the characteristic polynomial of A. (5%)
#214176
相關試卷
105年 - 105年國安三等線性代數#55637
105年 · #55637
104年 - 104 淡江大學 轉學考 線性代數#53183
104年 · #53183
104年 - 104 淡江大學 轉學考 線性代數#53164
104年 · #53164
103年 - 103 淡江大學 轉學考 線性代數#55733
103年 · #55733
102年 - 102 淡江大學 轉學考 線性代數#53129
102年 · #53129
102年 - 102 淡江大學 轉學考 線性代數#53093
102年 · #53093
100年 - 100 淡江大學 轉學考 線性代數#55896
100年 · #55896
100年 - 100 淡江大學 轉學考 線性代數#55892
100年 · #55892
95年 - 95 淡江大學 轉學考 線性代數#56041
95年 · #56041
94年 - 94 淡江大學 轉學考 線性代數#56042
94年 · #56042