阿摩線上測驗
登入
首頁
>
轉學考-線性代數
>
102年 - 102 淡江大學 轉學考 線性代數#53093
> 申論題
題組內容
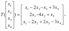
3. Let T : R
4
→ R
3
be defined by T
(c) Find Nullity{T).
相關申論題
(a) Prove that T is a linear transformation.
#193226
(b) Find bases for ker J1 and imT , respectively.
#193227
5. Prove that |AB| = |A||B| for any nxn matrices A and B. (20 %)
#193230
(c) Determine whether the matrix A given in (a) is diagonalizable; if yes, please diagonalize it. (5%)
#214178
(b) Find the real eigenvalues and the corresponding eigenspaces of A. (10%)
#214177
,(a) Find the characteristic polynomial of A. (5%)
#214176
5. Let A and B be both nx n matrices. Prove that the product AB is invertible if and only if both A and B are invertible. (10%).
#214175
(c) Find the matrix representation Ar of T relative to B'. (5%)
#214173
(b) Find the change-coordinates matrix from B to B' = {x,1 + x,x+ x2,x3}. (5%)
#214172
(a) Find the matrix representation A of T relative to B = {l,x,x2,x3}. ,(5%)
#214171
相關試卷
105年 - 105年國安三等線性代數#55637
105年 · #55637
104年 - 104 淡江大學 轉學考 線性代數#53183
104年 · #53183
104年 - 104 淡江大學 轉學考 線性代數#53164
104年 · #53164
103年 - 103 淡江大學 轉學考 線性代數#55733
103年 · #55733
102年 - 102 淡江大學 轉學考 線性代數#53129
102年 · #53129
102年 - 102 淡江大學 轉學考 線性代數#53093
102年 · #53093
100年 - 100 淡江大學 轉學考 線性代數#55896
100年 · #55896
100年 - 100 淡江大學 轉學考 線性代數#55892
100年 · #55892
95年 - 95 淡江大學 轉學考 線性代數#56041
95年 · #56041
94年 - 94 淡江大學 轉學考 線性代數#56042
94年 · #56042