阿摩線上測驗 登入

申論題資訊

試卷:92年 - 92 淡江大學 轉學考 電磁學#56058
科目:研究所、轉學考(插大)◆電磁學
年份:92年
排序:0

題組內容

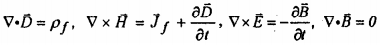
5. It is well known that the basic laws of classical electromagnetic phenomena are governed by the Maxwell's equations:  and  are the electric field, electric displacement, magnetic field, magnetic field intensity, free charge density, and free current density, respectively.

申論題內容

(c) Show that the tangential component of the electric field must be continuous across any boundary surface. (30 %)