題組內容
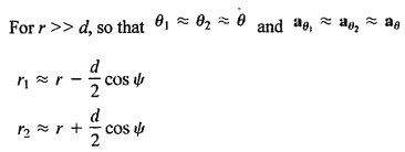
5. For the radiation field of two Hertzian dipoles, the electric fields of the individual dipoles are


(ii) (10%) Please write down the values of d and a for each case below.
5. For the radiation field of two Hertzian dipoles, the electric fields of the individual dipoles are


(ii) (10%) Please write down the values of d and a for each case below.