題組內容
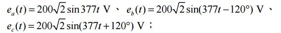
二、三相平衡且穩態電路如圖(二)所示,電源側的電壓為:
負載側的電流為:
試求:(每小題 10 分,共 20 分)
⑴加入三個電容 C1如圖(二),使電源側提供的功率因數為 1.0,計算電 容 C1的電容值,單位為 μF,以及圖(二)的電流
。
二、三相平衡且穩態電路如圖(二)所示,電源側的電壓為:
負載側的電流為:
試求:(每小題 10 分,共 20 分)
⑴加入三個電容 C1如圖(二),使電源側提供的功率因數為 1.0,計算電 容 C1的電容值,單位為 μF,以及圖(二)的電流
。