題組內容
二、假設
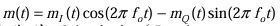
為波段帶通信號(Band-pass signal),其中
為其同相成分(In-phase component)而
為其正交成分(Quadrature component),
為其載波頻率。試說明:
⑴如何將射頻信號用它的等效基頻複數信號
表示。
二、假設
為波段帶通信號(Band-pass signal),其中
為其同相成分(In-phase component)而
為其正交成分(Quadrature component),
為其載波頻率。試說明:
⑴如何將射頻信號用它的等效基頻複數信號
表示。