阿摩線上測驗
登入
首頁
>
作業研究
>
96年 - 96 公務升官等考試_薦任_工業工程:作業研究#33073
> 申論題
題組內容
一、
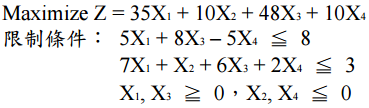
⑴寫出下列問題之對偶問題。(10 分)
相關申論題
⑵求解對偶問題。(10 分)
#79584
⑶求解下列問題。(10 分)
#79585
⑴該物流中心應僱用幾位作業員才能使總成本最低?(20 分)
#79586
⑵每部卡車平均等候時間為何?(10 分)
#79587
(三)若此消費性產品的市場有 10,000 名消費者,每位消費者平均一年購買 一次,A, B, C 品牌的單位售價分別為$600, $900, $1,200。請計算長期下來該消費性產品每年的總銷售額為多少?
#560545
(二)計算穩定狀態機率。
#560544
(一)寫出此問題的一階移轉機率矩陣(transition matrix)。
#560543
(四)請求算 A, B, C, D 四個方案分別適用於樂觀指數各為多少的範圍?
#560542
(三)以 Hurwicz 準則(樂觀指數 α = 0.4)求算最佳方案及其預期年收益。
#560541
(二)以小中取大(maximin)準則求算最佳方案及其預期年收益。
#560540
相關試卷
114年 - 114 地方政府公務特種考試_三等_工業工程:作業研究#134713
114年 · #134713
114年 - 114 專技高考_工業工程技師:作業研究#133680
114年 · #133680
114年 - 114 高等考試_三級_工業工程:作業研究#128750
114年 · #128750
113年 - 113 地方政府公務特種考試_三等_工業工程:作業研究#124521
113年 · #124521
113年 - 113 專技高考_工業工程技師:作業研究#123885
113年 · #123885
113年 - 113 高等考試_三級_工業工程:作業研究#121489
113年 · #121489
112年 - 112 地方政府特種考試_三等_工業工程:作業研究#118325
112年 · #118325
112年 - 112 專技高考_工業工程技師:作業研究#117594
112年 · #117594
112年 - 112 公務升官等考試_薦任_工業工程:作業研究#117328
112年 · #117328
112年 - 112 高等考試_三級_工業工程:作業研究#115450
112年 · #115450