阿摩線上測驗
登入
首頁
>
作業研究
>
100年 - 100 公務升官等考試_簡任_工業工程:作業研究(包括線性規劃與等候理論)#33070
> 申論題
題組內容
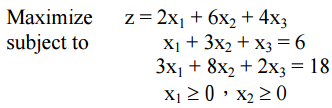
二、考慮下列線性規劃問題:
⑴將此線性規劃模式寫成標準形式,Min
cx
subject to
Ax
=
b
,
x
≥0。(10 分)
相關申論題
⑴利用線性規劃模式以表示該決策問題(但不必求解)。(10 分)
#79556
⑵利用指派問題予以求解,並說明所使用之步驟。(15 分)
#79557
⑵嘗試消除x3後,將此模式表示成雙變數之對等線性規劃問題。(10 分)
#79559
⑶利用圖解法求出該雙變數問題之最佳解以及其目標函數值。(10 分)
#79560
⑴最好的可行角解(corner-point feasible solution)是最佳解。(10 分)
#79561
⑵最佳解是一個可行角解。(10 分)
#79562
⑶如果某可行角解無較優之相鄰可行角解(以目標函數值而言),則此可行角解為 單一最佳解。(10 分)
#79563
四、某倉庫之裝卸站,在同一時間只允許一輛車進行貨物裝卸。貨車是以每平均小時 4 輛的 Poisson 過程到達倉庫,而貨車裝卸貨物所需時間是平均 10/n 分鐘的指數分 配,其中 n 表示裝卸工之人數(n = 1, 2, 3,…)。若每一裝卸工的時薪為 300 元, 而每輛貨車在裝卸或等待裝卸期間之成本為每小時 1000 元。試利用等候線理論進 行分析,應如何決定裝卸工之最佳僱用人數,以使得平均總成本為最低。(15 分)
#79564
(三)若此消費性產品的市場有 10,000 名消費者,每位消費者平均一年購買 一次,A, B, C 品牌的單位售價分別為$600, $900, $1,200。請計算長期下來該消費性產品每年的總銷售額為多少?
#560545
(二)計算穩定狀態機率。
#560544
相關試卷
114年 - 114 地方政府公務特種考試_三等_工業工程:作業研究#134713
114年 · #134713
114年 - 114 專技高考_工業工程技師:作業研究#133680
114年 · #133680
114年 - 114 高等考試_三級_工業工程:作業研究#128750
114年 · #128750
113年 - 113 地方政府公務特種考試_三等_工業工程:作業研究#124521
113年 · #124521
113年 - 113 專技高考_工業工程技師:作業研究#123885
113年 · #123885
113年 - 113 高等考試_三級_工業工程:作業研究#121489
113年 · #121489
112年 - 112 地方政府特種考試_三等_工業工程:作業研究#118325
112年 · #118325
112年 - 112 專技高考_工業工程技師:作業研究#117594
112年 · #117594
112年 - 112 公務升官等考試_薦任_工業工程:作業研究#117328
112年 · #117328
112年 - 112 高等考試_三級_工業工程:作業研究#115450
112年 · #115450