阿摩線上測驗
登入
首頁
>
物理化學(包括化工熱力學)
>
106年 - 106 專技高考_專利師(選試專業英文及物理化學)、專利師(選試專業日文及物理化學):物理化學#64350
>
題組內容
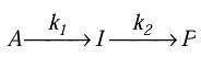
六、對一系列基本反應(elementary reactions)
,其中 I 為一活性非常高之中間產物。假設初始時,僅有反應物 A 存在,即 t = 0, [A] = [A]
0
。
⑴導出速率表示式。
其他申論題
⑴在 328 K 下,某條件之反應速率為 0.75 × mol 。求 d[N2O5]/dt、d[NO2]/dt、 及 d[O2]/dt 之值。
#257789
⑵若在328 K下之反應速率式表示為= (1.5 × ) [N2O5],則其半衰期(half-life) 為何?
#257790
⑶在⑵小題中,當反應 1 小時後,反應物 N2O5剩餘的百分率為何?
#257791
⑷在⑵小題中,若將溫度提高為原來 2 倍時,反應速率提高為原來之 10 倍,求出活化能。
#257792
⑵導出產物濃度[P]與時間 t 之關係。
#257794
一、甲於 105 年 5 月 24 日提出申請書及圖示申請設計專利,並以 104 年 11 月 24 日申 請之美國專利案主張優先權。經濟部智慧財產局(下稱智慧財產局)以 105 年 6 月 2 日函通知甲:「本案請於 105 年 9 月 24 日前補正設計專利說明書。」甲於 105 年 6 月 10 日補正設計專利說明書,智慧財產局以 105 年 6 月 24 日函通知甲本案應以 105 年 6 月 10 日補正之日為申請日,另因自本案主張優先權日之次日起算至本案 申請日 105 年 6 月 10 日止,已逾 6 個月,本案不得主張優先權。甲主張其所補正 之專利說明書與原申請書及圖示所揭露之申請專利範圍內容完全一致,故 105 年 5 月 24 日可認為實質上已提供專利說明書,智慧財產局認 105 年 6 月 10 日為本案申請 日,且不得主張優先權,乃違反比例原則;又智慧財產局 105 年 6 月 2 日補正通知 函未明示將以補正日為申請日,甲對該函已產生信賴,於該函指定期間內補正設計 專利說明書,故應以 105 年 5 月 24 日為申請日,並容許其主張優先權,智慧財產 局卻以 105 年 6 月 10 日補正日為申請日,並認定不得主張優先權,違反信賴保護 原則。甲不服智慧財產局 105 年 6 月 24 日函,其完整之救濟途徑為何?甲之主張 有無理由?(30 分)
#257795
⑴法院命乙參加訴訟,甲主張乙為冰箱製造業者,而非冷氣機業者,其訴訟結果不 影響其權益,乙不得參加訴訟,也不得於訴訟中提出攻擊或防禦方法。(10 分)
#257796
⑵智慧財產局於舉發程序中僅通知甲應刪除請求項 12-15,對其他請求項未敘明違 反專利法規定,甲亦已提出更正本刪除請求項 12-15,其後智慧財產局竟依乙之 舉發補充理由書重新審查,無視甲對於舉發之補充答辯,認定甲之專利全部請求 項欠缺進步性,其所為舉發成立之處分違反明確性原則;又智慧財產局未給予甲 前往智慧財產局口頭陳述意見之機會,亦屬違法。(20 分)
#257797
1.比較法之分析、調整過程與決定價格之正確性。(24 分)
#257798
2.成本法之分析、調整過程與決定價格之正確性。(32 分)
#257799