阿摩線上測驗
登入
首頁
>
通信系統
>
103年 - 103年高等三級暨普通考普通_電信工程#28878
> 申論題
題組內容
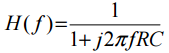
二、一濾波器之頻率響應為
⑴此濾波器為低通、高通或帶通濾波器?(5 分)
相關申論題
⑵此濾波器之脈衝響應(impulse response)為何?(15 分)
#58432
(1)求輸出訊號y(t)。 (10分)
#58433
(2)此調變器為何種調變器? (5分)
#58434
(3)若m(t)之傅立葉轉換為M(f),求y(t)之傅立葉轉換。 (5分)
#58436
(1)求微分器輸出v(t)。 (10分)
#58437
(2)在何條件下,包跡檢測器可檢測出m(t)? (10分)
#58438
⑶說明如何處理xδ(t) ,才能回復原訊號。(5 分)
#77400
(二)請詳述如何還原訊號 x(t ) ,並說明可以完美還原訊號的理由。
#560728
(一)請繪製取樣後之頻譜,並說明取樣間隔詳須滿足什麼條件,方能完 美地還原訊號 x(t ) 。
#560727
四、行動通訊系統中,基地台和行動裝置之間的雙工(duplex)機制有分時雙 工(Time-Division Duplex, TDD)和分頻雙工(Frequency-Division Duplex, FDD),請說明什麼是雙工,並詳述兩種機制如何運作。
#560726
相關試卷
114年 - 114 地方政府公務特種考試_四等_電信工程:通信系統概要#134755
114年 · #134755
114年 - 114 地方政府公務特種考試_三等_電信工程:通信與系統#134723
114年 · #134723
114年 - 114 公務升官等考試_薦任_電信工程:通信與系統#133270
114年 · #133270
114年 - 114 調查特種考試_三等_電子科學組:通信與系統#129592
114年 · #129592
114年 - 114 高等考試_三級_電信工程:通信與系統#128757
114年 · #128757
114年 - 114 普通考試_電信工程:通信系統概要#128733
114年 · #128733
113年 - 113 地方政府公務特種考試_四等_電信工程:通信系統概要#124540
113年 · #124540
113年 - 113 調查特種考試_三等_電子科學組:通信與系統#122111
113年 · #122111
113年 - 113 普通考試_電信工程:通信系統概要#121514
113年 · #121514
113年 - 113 高等考試_三級_電信工程:通信與系統#121501
113年 · #121501